• Предмет: Алгебра
  • Автор: 545tyuyuyu
  • Вопрос задан 9 лет назад

Помогите пожалуйста 
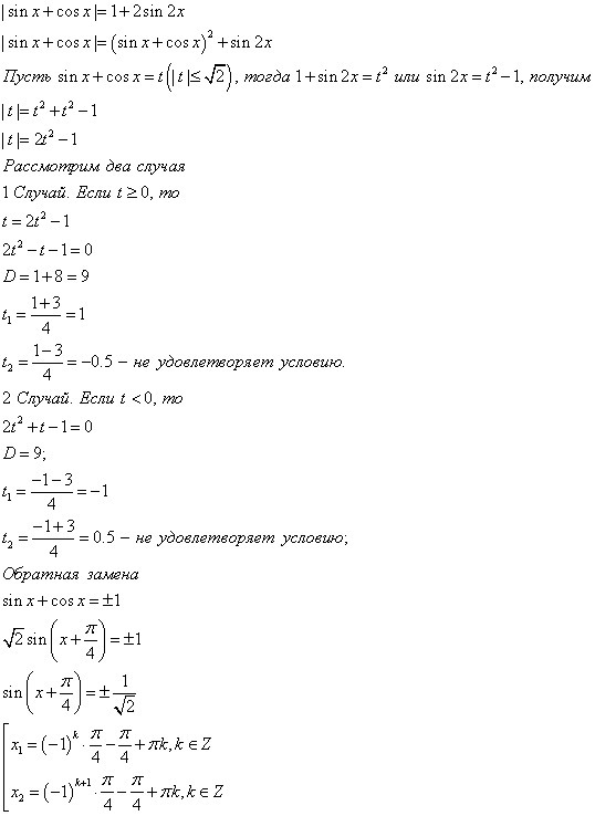
|sin x + cos x| = 1 +2 sin 2x

Ответы

Ответ дал: Аноним
0
Решение в закрепленной картинке
Приложения:
Ответ дал: 545tyuyuyu
0
Спасибо вам большое ,о ответ должен быть Пн /2
Ответ дал: Аноним
0
Сейчас рассмотрю случай )
Ответ дал: Аноним
0
Мой ответ тоже подходит, только решил другим путем) есть разные ответы )
Ответ дал: 545tyuyuyu
0
Тогда спаибо еще раз)
Вас заинтересует