Даю 90 баллов.
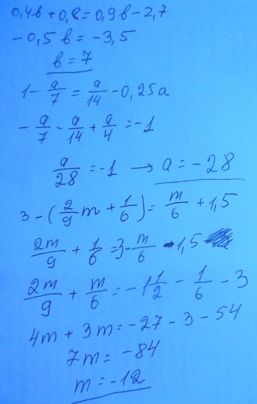
б) 0,4b +0,8 = 0,9b - 2,7
в) 
г) 
д) 2,6z - 0,2(3z -9) = -0,5(2z +6)
е) 
ж) 
з) 
и) 
k)
Ответы
Ответ дал:
0
!!!!!!!!!!!!!!!!!!!!!!!!!!!!!!!
Приложения:
Ответ дал:
0
№к - предпоследняя строчка - проверьте 0,8у? Пример Г) 3 - (2/9m + 1/6) = m/3 + ( у вас m/6); третья строчка этого уравнения последняя цифра = + 3 ( у вас - 3). Пожалуйста, проверьте эти уравнения.
Вас заинтересует
2 года назад
2 года назад
7 лет назад
9 лет назад