Ответы
Ответ дал:
0
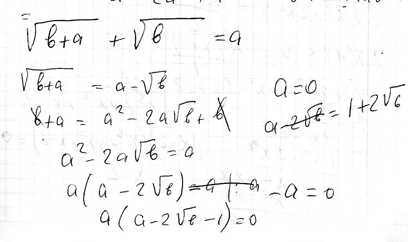
что я обозначила за а и b я думаю поймешь
Приложения:



Ответ дал:
0
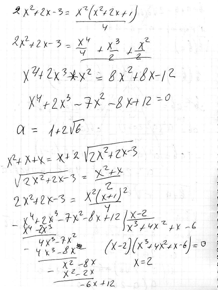
теперь все-пользуйся)
Ответ дал:
0
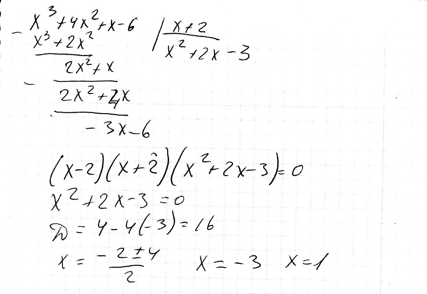
там -3 по-моему не подходит, потому что первое подкоренное выражение будет меньше 0, значит останется 3 корня
Ответ дал:
0
Спасибо огроооооомнооое)Очень помогла)
Ответ дал:
0
на здоровье!
Ответ дал:
0
-3 тоже подходящее решение, 4 корня
Вас заинтересует
2 года назад
2 года назад
6 лет назад
9 лет назад
9 лет назад