1. Выполни умножение.
а) 3/7 * (-42/69); б) - 1 5/8 * 2 4/26.
2. Запиши, во сколько раз число 12 3/4 больше числа, ему обратного.
3. Раскрой скобки и приведи подобные слагаемые.
- ( 3,5а - 1,2в ) + ( -6а + 4,8в )
Ответы
Ответ дал:
0
2 задание не поняла...
Приложения:

Ответ дал:
0
а в 1 задании под б, тоже не знаешь?
Ответ дал:
0
там дробь 2*4/26, так?
Ответ дал:
0
точнее 2 целые 4/26
Ответ дал:
0
да
Ответ дал:
0
тогда ответ (-105/26)
Ответ дал:
0
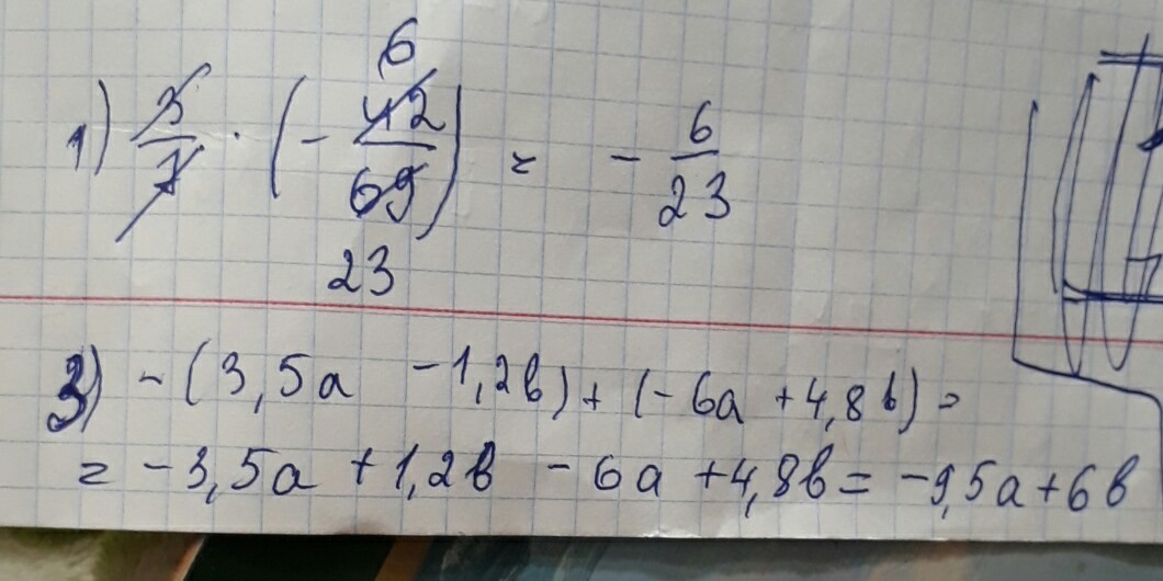
№ 1.
а) 3/7 * (-42/69) = - (1*6)/(1*23) = - 6/23
б) - 1 5/8 * 2 4/26 = - 13/8 * 56/26 = - (1*7)/(1*2) = - 7/2 = - 3 1/2
№ 2.
12 целых 3/4 = (12*4+3)/4 = 51/4 - число; 4/51 - обратное ему число
51/4 : 4/51 = 51/4 * 51/4 = 2601/16 = 162 целых 9/16 - во столько раз больше.
№ 3.
= - 3,5a + 1,2b - 6a + 4,8b = (1,2b + 4,8b) - (3,5a + 6a) = 6b - 9,5a
а) 3/7 * (-42/69) = - (1*6)/(1*23) = - 6/23
б) - 1 5/8 * 2 4/26 = - 13/8 * 56/26 = - (1*7)/(1*2) = - 7/2 = - 3 1/2
№ 2.
12 целых 3/4 = (12*4+3)/4 = 51/4 - число; 4/51 - обратное ему число
51/4 : 4/51 = 51/4 * 51/4 = 2601/16 = 162 целых 9/16 - во столько раз больше.
№ 3.
= - 3,5a + 1,2b - 6a + 4,8b = (1,2b + 4,8b) - (3,5a + 6a) = 6b - 9,5a
Приложения:

Вас заинтересует
2 года назад
7 лет назад
7 лет назад
9 лет назад
9 лет назад
10 лет назад