Ответы
Ответ дал:
0
я не стал переписывать системы а сразу начал решать
Приложения:


Ответ дал:
0
надеюсь помог
Ответ дал:
0
Спасибо
Ответ дал:
0
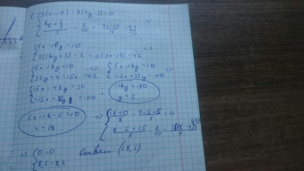
1
{(x-10)/8-(2y-5)/5=0 /*40⇒5x-50-16y+40=0⇒5x-16y=10/*(-3)⇒-15x+48y=-30
{(8y+1,5)/5-1/10=3(x-4)/4-2,3 /*20⇒32y+6-2=15x-60-46⇒15x-32y=110
прибавим
16y=80
y=80:16
y=5
5x-80=10
5x=80+10
5x=90
x=90:5
x=18
Ответ (18;5)
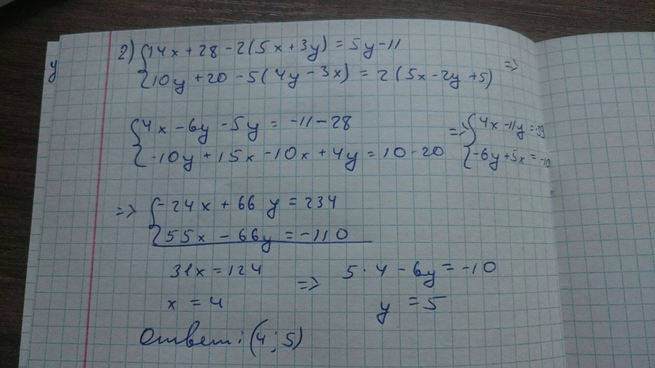
2
{(x=2)-(5x+3y)/7=(5y-11)/14/*14⇒14x+28-10x-6y=5y-11⇒4x-11y=-39
{(y+2)-(4y-3x)/2=(5x-2y+5)/5 /*10⇒10y+20-20y+15x=10x-4y+10⇒5x-6y=-10
{4x-11y=-39/*5⇒20x-55y=-195
{5x-6y=-10/*(-4)⇒-20x+24y=40
прибавим
-31y=-155
y=-155:(-31)
y=5
5x-30=-10
5x=30-10
5x=20
x=20:5
x=4
Ответ (4;5)
{(x-10)/8-(2y-5)/5=0 /*40⇒5x-50-16y+40=0⇒5x-16y=10/*(-3)⇒-15x+48y=-30
{(8y+1,5)/5-1/10=3(x-4)/4-2,3 /*20⇒32y+6-2=15x-60-46⇒15x-32y=110
прибавим
16y=80
y=80:16
y=5
5x-80=10
5x=80+10
5x=90
x=90:5
x=18
Ответ (18;5)
2
{(x=2)-(5x+3y)/7=(5y-11)/14/*14⇒14x+28-10x-6y=5y-11⇒4x-11y=-39
{(y+2)-(4y-3x)/2=(5x-2y+5)/5 /*10⇒10y+20-20y+15x=10x-4y+10⇒5x-6y=-10
{4x-11y=-39/*5⇒20x-55y=-195
{5x-6y=-10/*(-4)⇒-20x+24y=40
прибавим
-31y=-155
y=-155:(-31)
y=5
5x-30=-10
5x=30-10
5x=20
x=20:5
x=4
Ответ (4;5)
Приложения:


Вас заинтересует
2 года назад
2 года назад
7 лет назад
7 лет назад
9 лет назад
9 лет назад
10 лет назад