• Предмет: Алгебра
  • Автор: Мария771163
  • Вопрос задан 9 лет назад

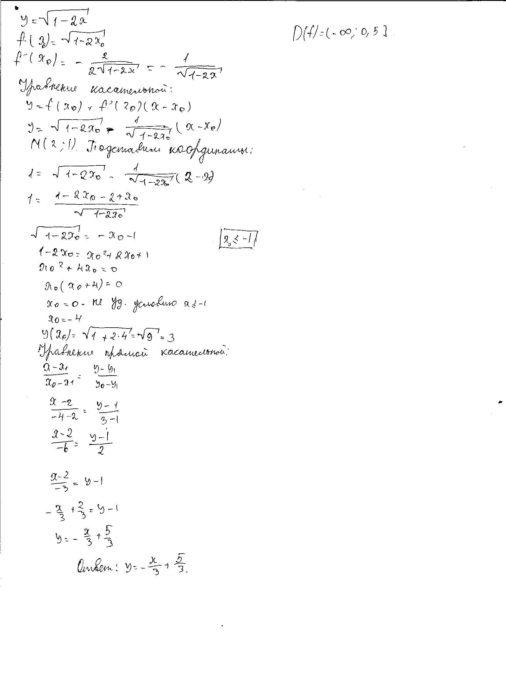
Напишите уравнение всех прямых, касательной к графику функции у=√1-2x ,проходящей через точку М(2;1).

Ответы

Ответ дал: Dимасuk
0
Решение задания во вложении (=

Приложения:
Вас заинтересует