• Предмет: Алгебра
  • Автор: maxxx2000
  • Вопрос задан 9 лет назад

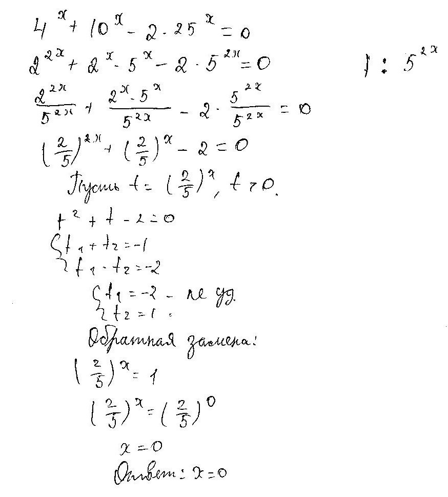
Решите вот это уравнение

Приложения:

Ответы

Ответ дал: Dимасuk
0
Решение задания во вложении (=

Приложения:
Вас заинтересует