• Предмет: Математика
  • Автор: Реальник
  • Вопрос задан 9 лет назад

помогите решить 6 пример

Приложения:

Ответы

Ответ дал: Аноним
0
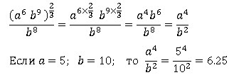
Решение смотрите на картинке.
Приложения:
Вас заинтересует