• Предмет: Алгебра
  • Автор: viola2896
  • Вопрос задан 9 лет назад

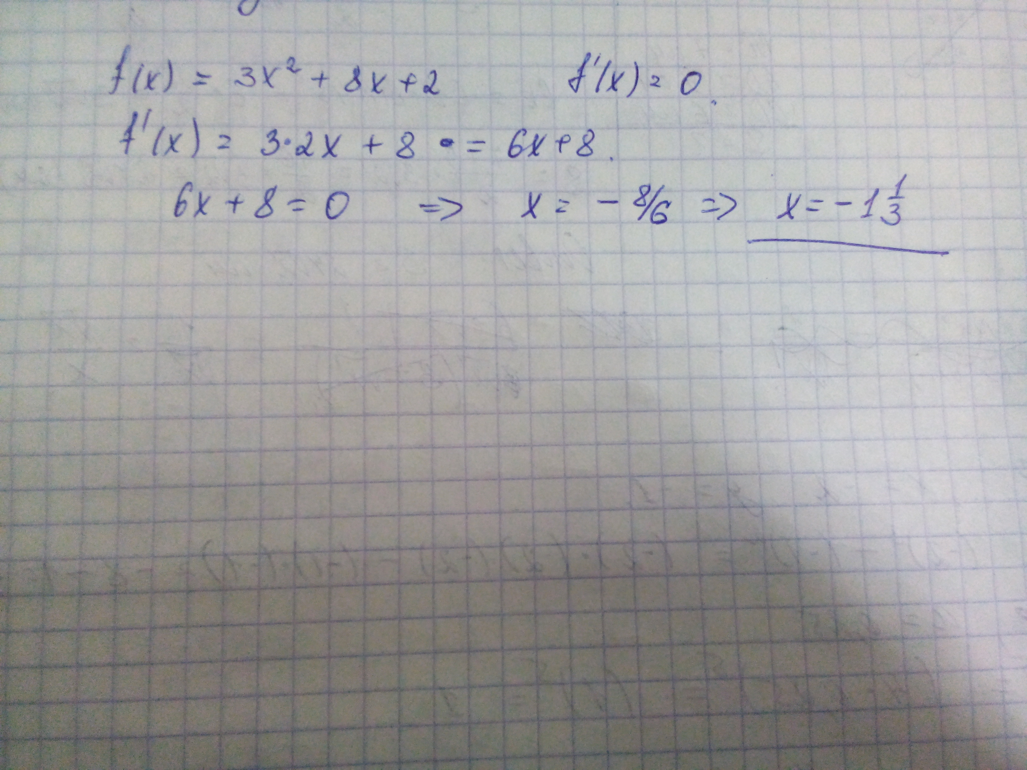
Для функции f(x)=3x^2+8x+2 решите уравнение: f'(x)=0

Ответы

Ответ дал: wturm
0
Решение в приложении
Приложения:
Вас заинтересует