Ответы
Ответ дал:
0
1
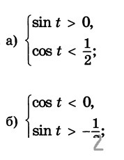
{sint>0⇒2πk<t<π+2πk
{cost<1/2⇒π/3+2πk<t<5π/3+2πk
t∈(π/3+2πk;π/2πk,k∈z)
2
{cost<0⇒π/2+2πk<t<3π/2+2πk
{sint>-1/2⇒-π/6+2πk<t<7π/6+2πk
T∈(π/2+2πk;7π/6+2πk,k∈z)
{sint>0⇒2πk<t<π+2πk
{cost<1/2⇒π/3+2πk<t<5π/3+2πk
t∈(π/3+2πk;π/2πk,k∈z)
2
{cost<0⇒π/2+2πk<t<3π/2+2πk
{sint>-1/2⇒-π/6+2πk<t<7π/6+2πk
T∈(π/2+2πk;7π/6+2πk,k∈z)
Вас заинтересует
2 года назад
2 года назад
7 лет назад
9 лет назад
9 лет назад