• Предмет: Математика
  • Автор: piretskate
  • Вопрос задан 9 лет назад

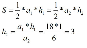
у треугольника со сторонами18 и 6 прведенывысоты к этим сторонам. Высота, проведённая к первой стороне, равна 1. Чему равна высота, проведённая ко втрой стороне?

Ответы

Ответ дал: Аноним
0
используем формулу площади треугольника и получим

Приложения:
Вас заинтересует