Ответы
Ответ дал:
0
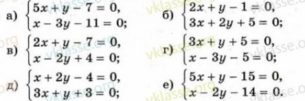
Дана система ур-ний
5 x + y - 7 = 0
x - 3 y - 11 = 0
Из 1-го ур-ния выразим x
5 x + y - 7 = 0
Перенесем слагаемое с переменной y из левой части в правую со сменой знака
5 x - 7 = - y
5 x - 7 = - y
Перенесем свободное слагаемое -7 из левой части в правую со сменой знака
5 x = - y + 7
5 x = - y + 7
Разделим обе части ур-ния на множитель при x
5 x/( это дробь)5 = 1/5 (- y + 7)
x = - y/5 + 7/5
Подставим найденное x в 2-е ур-ние
x - 3 y - 11 = 0
Получим:
- 3 y + - y/5 + 7/5 - 11 = 0
- 16 y/5 - 48/5 = 0
Перенесем свободное слагаемое -48/5 из левой части в правую со сменой знака
- 16 y/5 = 48/5
y = -3
Т.к.
x = - y/5 + 7/5
то
x = - {-3}{5} + 7/5
x = 2
Ответ:
x = 2
y = -3
5 x + y - 7 = 0
x - 3 y - 11 = 0
Из 1-го ур-ния выразим x
5 x + y - 7 = 0
Перенесем слагаемое с переменной y из левой части в правую со сменой знака
5 x - 7 = - y
5 x - 7 = - y
Перенесем свободное слагаемое -7 из левой части в правую со сменой знака
5 x = - y + 7
5 x = - y + 7
Разделим обе части ур-ния на множитель при x
5 x/( это дробь)5 = 1/5 (- y + 7)
x = - y/5 + 7/5
Подставим найденное x в 2-е ур-ние
x - 3 y - 11 = 0
Получим:
- 3 y + - y/5 + 7/5 - 11 = 0
- 16 y/5 - 48/5 = 0
Перенесем свободное слагаемое -48/5 из левой части в правую со сменой знака
- 16 y/5 = 48/5
y = -3
Т.к.
x = - y/5 + 7/5
то
x = - {-3}{5} + 7/5
x = 2
Ответ:
x = 2
y = -3
Ответ дал:
0
это по первому
Ответ дал:
0
Хах, да
Ответ дал:
0
ну ок
Вас заинтересует
2 года назад
2 года назад
7 лет назад
7 лет назад