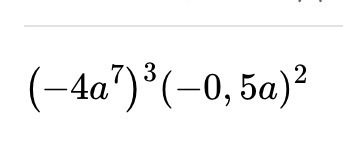
Представьте выражение на фото в виде одночлена, а главное пошагово объясните, как вы это сделали. Срочно! Плииз! Даю 12 баллов за объяснение и правильный ответ!
Приложения:

Ответы
Ответ дал:
0
Вас заинтересует
2 года назад
2 года назад
7 лет назад
7 лет назад
10 лет назад
10 лет назад