• Предмет: Алгебра
  • Автор: Аноним
  • Вопрос задан 11 лет назад

Помогите пожалуйста упростить эти два выражения!!!!!! Заранее благодарна!!

Приложения:

Ответы

Ответ дал: Тиночка123
0
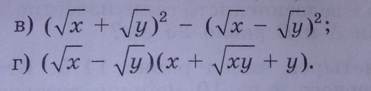
в) x+2*(корень из х)*(корень из у)+у-x+2*(корень из х)*(корень из у)-у= 4*(корень из х)*(корень из у)

Ответ дал: Света19999
0
 (sqrt{x} + sqrt{y})^{2}  - ( sqrt{x} - sqrt{y})^{2} = ( sqrt{x} + sqrt{y} - sqrt{x}  +  sqrt{y})( sqrt{x} +  sqrt{y} +  sqrt{x} -sqrt{y}) = 2sqrt{y} * 2 sqrt{x}  = 4 sqrt{xy}

( sqrt{x} -sqrt{y})(x +  sqrt{xy}  + y) =  sqrt[3]{x}  -  sqrt[3]{y}
Ответ дал: Света19999
0
там не видно корень из у) =
Вас заинтересует