Ответы
Ответ дал:
0
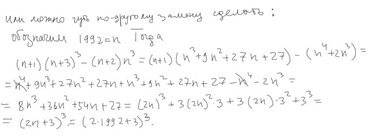
На фото в условии опечатка - если там 1992^2, то число не является кубом. Должно быть 1992^3. Тогда все ок. На второй картинке немного по-другому сделано. Выбирайте, что больше нравится.
Приложения:
Ответ дал:
0
task/24960970
----------------------
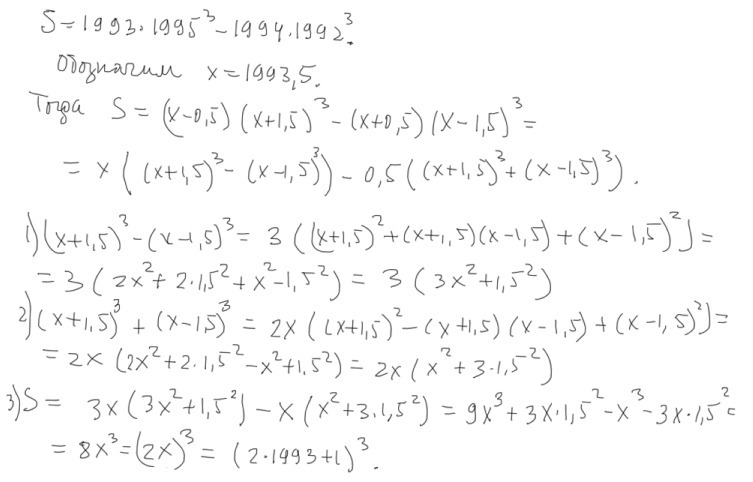
Доказать,что 1993*1995³ -1994*1992³ является кубом целого числа
(ничего нового)
* * * * * * * * * * * *
обозначаем (например) : 1993 =a
1993*1995³ -1994*1992³ =a(a+2)³ -(a+1)(a-1)³ =
a(a³+6a² +12a+8) - (a²-1)(a²-2a+1)= a⁴+6a³ +12a²+8a - a⁴+2a³-2a+1 =
8a³ +12a² +6a +1 =(2a+1)³ = (2*1993+1)³ .
----------------------
Доказать,что 1993*1995³ -1994*1992³ является кубом целого числа
(ничего нового)
* * * * * * * * * * * *
обозначаем (например) : 1993 =a
1993*1995³ -1994*1992³ =a(a+2)³ -(a+1)(a-1)³ =
a(a³+6a² +12a+8) - (a²-1)(a²-2a+1)= a⁴+6a³ +12a²+8a - a⁴+2a³-2a+1 =
8a³ +12a² +6a +1 =(2a+1)³ = (2*1993+1)³ .
Приложения:
Вас заинтересует
2 года назад
7 лет назад
7 лет назад
9 лет назад
10 лет назад