• Предмет: Математика
  • Автор: daniella003
  • Вопрос задан 9 лет назад

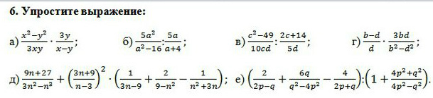
помогите пожалуйста!!! Д и Е!!!!! Срочно!!!!!!

Приложения:

Ответа на этот вопрос пока нет. Попробуйте найти его через форму поиска.

Вас заинтересует