Ответы
Ответ дал:
0
1
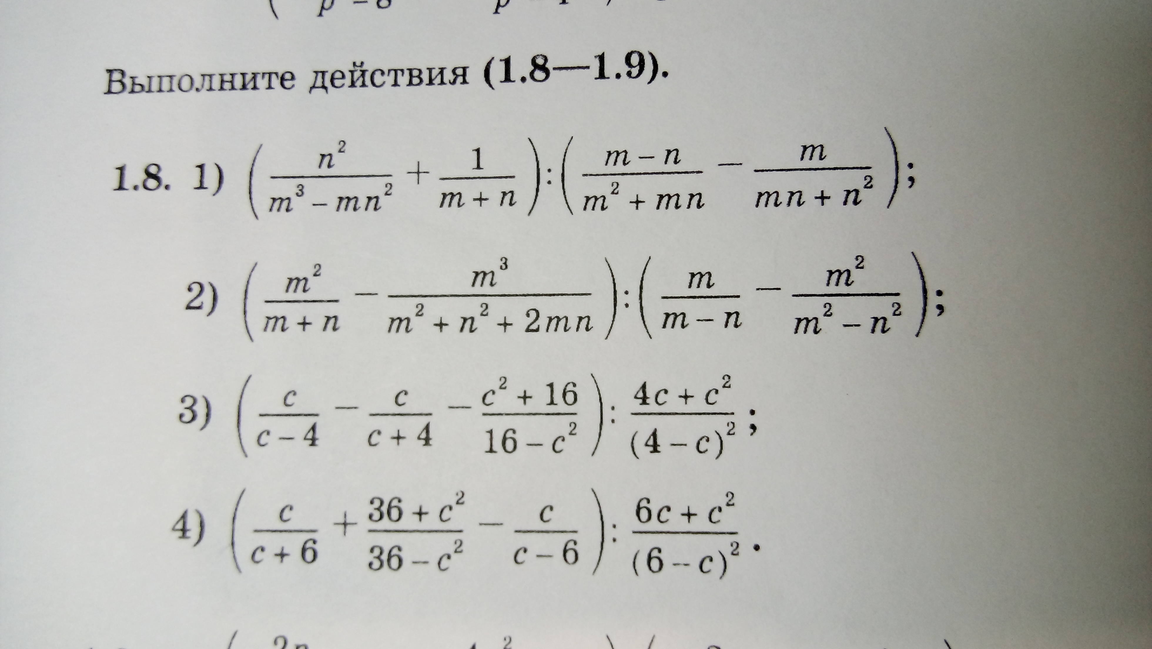
1)n²/[m(m-n)(m+n)]+1/(m+n)=(n²+m²-mn)/[m(m-n)(m+n)]
2)(m-n)/[m(m+n)]-m/n(m+n)=(mn-n²-m²)/[mn(m+n)]
3)(n²+m²-mn)/[m(m-n)(m+n)]:(mn-n²-m²)/[mn(m+n)]=
=(n²+m²-mn)/[m(m-n)(m+n)] *mn(m+n)/(mn-m²-n²)=-n/(m-n)=n/(n-m)
2
1)m²/(m+n)-m³(m+n)²=m²(m+n-m)/(m+n)²=m²n/(m+n)²
2)m/(m-n)-m²/[(m-n)(m+n)]=m(m+n-m)/[(m-n)(m+n)]=mn/[(m-n)(m+n)]
3)m²n/(m+n)²:mn/[(m-n)(m+n)]=m²n/(m+n)²*(m-n)(m+n)/mn=m(m-n)/(m+n)
3
1)c/(c-4)-c/(c+4)+(c²+16)/[(c-4)(c+4)]=(c²+4c-c²+4c+c²+16)/[(c-4)(c+4)]=
=(c²+8c+16)/[(c-4)(c+4)]=(c+4)²/[(c-4)(c+4)]=(c+4)/(c-4)
2)(c+4)/(c-4):c(c+4)/(c-4)²=(c+4)/(c-4)*(c-4)²/c(c+4)=(c-4)/c
4
1)c/(c+6)-(36+c²)/[(c-6)(c+6)]-c/(c-6)=(c²-6c-c²-36-c²-6c)/[(c-6)(c+6)]=
=(-c²-12c-36)/[(c-6)(c+6)]=-(c+6)²/[(c-6)(c+6)]=(c+6)/(6-c)
2)(c+6)/(6-c):c(6+c)/(6-c)²=(c+6)/(6-c)*(6-c)²/[c(6+c)]=(6-c)/c
1)n²/[m(m-n)(m+n)]+1/(m+n)=(n²+m²-mn)/[m(m-n)(m+n)]
2)(m-n)/[m(m+n)]-m/n(m+n)=(mn-n²-m²)/[mn(m+n)]
3)(n²+m²-mn)/[m(m-n)(m+n)]:(mn-n²-m²)/[mn(m+n)]=
=(n²+m²-mn)/[m(m-n)(m+n)] *mn(m+n)/(mn-m²-n²)=-n/(m-n)=n/(n-m)
2
1)m²/(m+n)-m³(m+n)²=m²(m+n-m)/(m+n)²=m²n/(m+n)²
2)m/(m-n)-m²/[(m-n)(m+n)]=m(m+n-m)/[(m-n)(m+n)]=mn/[(m-n)(m+n)]
3)m²n/(m+n)²:mn/[(m-n)(m+n)]=m²n/(m+n)²*(m-n)(m+n)/mn=m(m-n)/(m+n)
3
1)c/(c-4)-c/(c+4)+(c²+16)/[(c-4)(c+4)]=(c²+4c-c²+4c+c²+16)/[(c-4)(c+4)]=
=(c²+8c+16)/[(c-4)(c+4)]=(c+4)²/[(c-4)(c+4)]=(c+4)/(c-4)
2)(c+4)/(c-4):c(c+4)/(c-4)²=(c+4)/(c-4)*(c-4)²/c(c+4)=(c-4)/c
4
1)c/(c+6)-(36+c²)/[(c-6)(c+6)]-c/(c-6)=(c²-6c-c²-36-c²-6c)/[(c-6)(c+6)]=
=(-c²-12c-36)/[(c-6)(c+6)]=-(c+6)²/[(c-6)(c+6)]=(c+6)/(6-c)
2)(c+6)/(6-c):c(6+c)/(6-c)²=(c+6)/(6-c)*(6-c)²/[c(6+c)]=(6-c)/c
Вас заинтересует
2 года назад
2 года назад
7 лет назад
7 лет назад
10 лет назад
10 лет назад