• Предмет: Алгебра
  • Автор: skshajjsma
  • Вопрос задан 9 лет назад

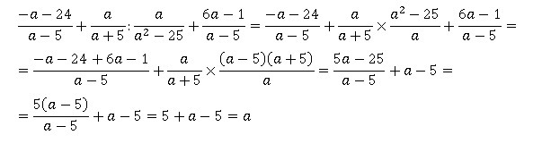
‼️Помогите упростить‼️
-а-24/а-5+ а/а+5 : а/а'2-25 + 6а-1/а-5

Ответы

Ответ дал: Аноним
0
Решение приложено в файле....
Приложения:
Вас заинтересует