МНОГО БАЛЛОВ! (Но за спам- в бан)
‼️Помогите упростить‼️
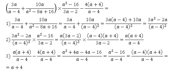
( 3а/а-4 + 10а/а'2-8а+16) * а'2-16/3а-2 - 4(а+4)/а-4
Ответы
Ответ дал:
0
Решение смотрите на картинке
Приложения:

Вас заинтересует
2 года назад
6 лет назад
6 лет назад
9 лет назад
10 лет назад