• Предмет: Алгебра
  • Автор: Vikavitic
  • Вопрос задан 9 лет назад

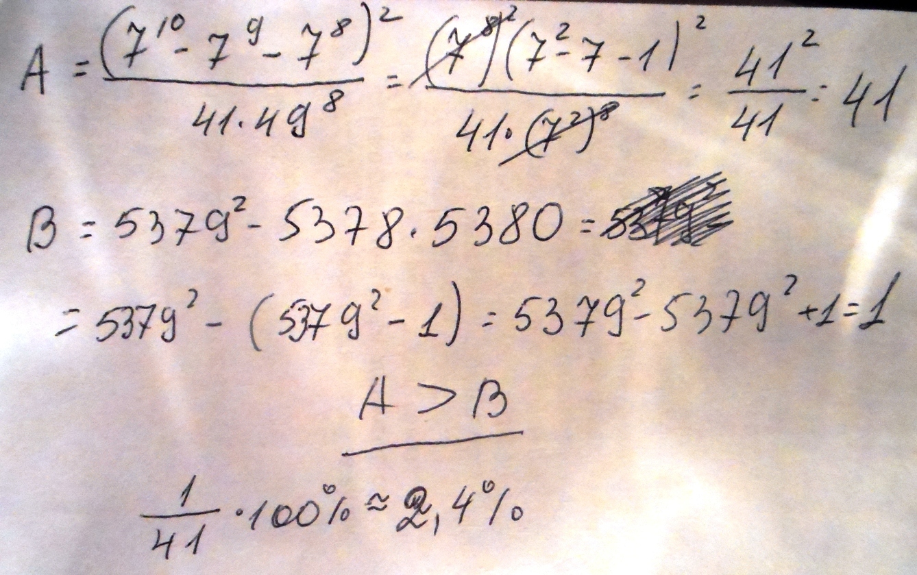
КАК РЕШИТЬ НОМЕР 5 ?

Приложения:

Ответы

Ответ дал: miron2077
0
100%-2,4%=97,6%   А>В
!!!!!!!!!!!!!!
Приложения:
Ответ дал: fadarm
0
Наверное не совсем корректно, в задаче спрашивается на сколько процентов больше, а не сколько составляет
Вас заинтересует