ПОМОГИТЕ ПОЖАЛУЙСТА РЕШИТЬ НОМЕР В АЛГЕБРЕ)
ОЧЕНЬ СРОЧНО!
ЗАРАНЕЕ БОЛЬШУЩЕЕ СПАСИБО! <3
Приложения:

Ответы
Ответ дал:
0
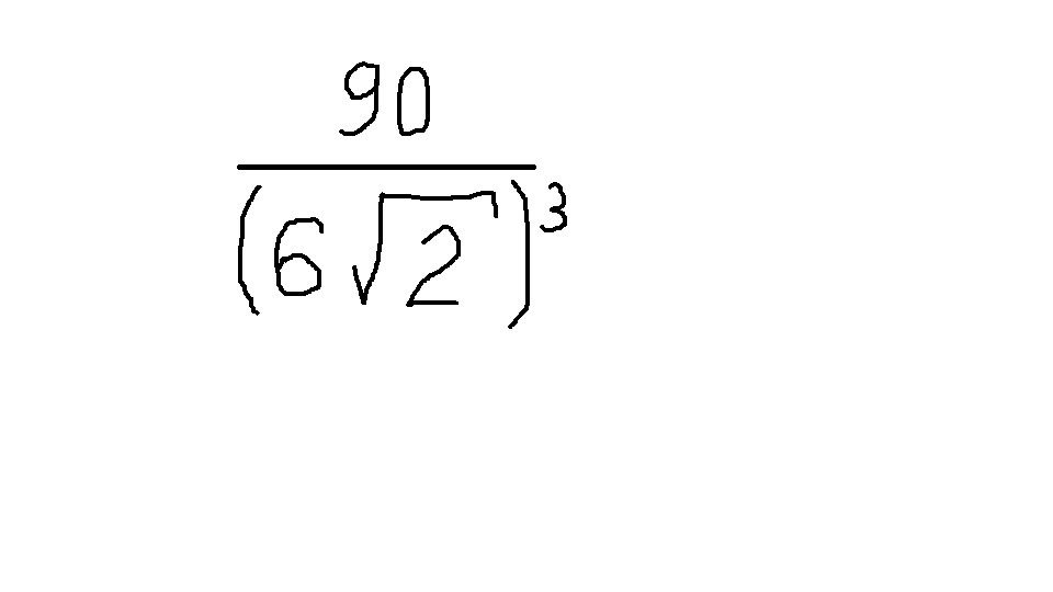
3*3*2*5 : (3*3*3*2*2*2*2*sqrt(2)) = 5 : (3*8*sqrt(2))
Ответ: 5/(24*корень(2))
Ответ: 5/(24*корень(2))
Вас заинтересует
2 года назад
7 лет назад
9 лет назад
9 лет назад
10 лет назад