Ответы
Ответ дал:
0
уравнения имеет 2 корней
Приложения:

Ответ дал:
0
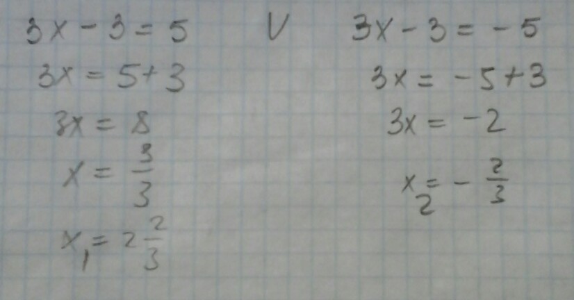
Раскрываем знак модуля со знаком "+"
3(х-1)=5
3х-3=5
3х=8
х=8/3
х=2 ⅔
Раскрываем знак модуля со знаком "-"
3× [-(х-1)]=5
3×(-х+1)=5
-3х+3=5
-3х=2
3х=-2
х=-⅔
Ответ: х1=2⅔, х2=-⅔
3(х-1)=5
3х-3=5
3х=8
х=8/3
х=2 ⅔
Раскрываем знак модуля со знаком "-"
3× [-(х-1)]=5
3×(-х+1)=5
-3х+3=5
-3х=2
3х=-2
х=-⅔
Ответ: х1=2⅔, х2=-⅔
Приложения:

Вас заинтересует
2 года назад
2 года назад
7 лет назад
7 лет назад
9 лет назад
9 лет назад
10 лет назад
10 лет назад