Ответы
Ответ дал:
0
Решение задания во вложении (=
Приложения:
Ответ дал:
0
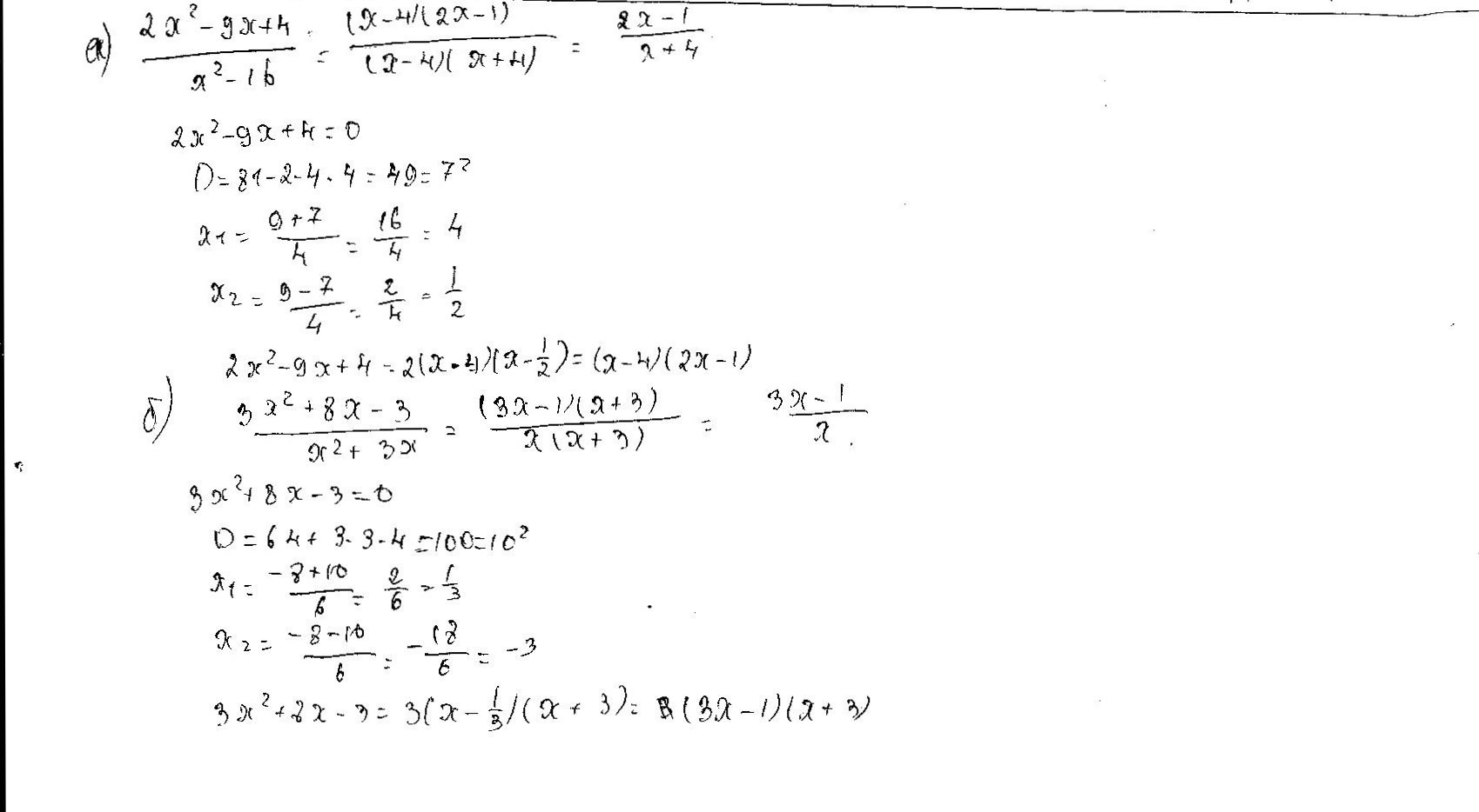
А)
(2х'2-9х+4)/(х'2-16 )=(2x-1)(x-4)/[(x-4)(x+4)]=(2x-1)/(x+4)
2x²-9x+4=2(x-1/2)(x-4)=(2x-1)(x-4)
D=81-32=49
x1=(9-7)/4=1/2 U x2=(9+7)/4=4
Б)
(3х'2+8х-3)/(х'2+3х)=(3x-1)(x+3)/[x(x+3)]=(3x-1)/x
3x²+8x-3=3(x-1/3)(x+3)=(3x-1)(x+3)
D=64+36=100
x1=(-8-10)/6=-3 U x2=(-8+10)/6=1/3
(2х'2-9х+4)/(х'2-16 )=(2x-1)(x-4)/[(x-4)(x+4)]=(2x-1)/(x+4)
2x²-9x+4=2(x-1/2)(x-4)=(2x-1)(x-4)
D=81-32=49
x1=(9-7)/4=1/2 U x2=(9+7)/4=4
Б)
(3х'2+8х-3)/(х'2+3х)=(3x-1)(x+3)/[x(x+3)]=(3x-1)/x
3x²+8x-3=3(x-1/3)(x+3)=(3x-1)(x+3)
D=64+36=100
x1=(-8-10)/6=-3 U x2=(-8+10)/6=1/3
Приложения:
Вас заинтересует
2 года назад
2 года назад
7 лет назад
10 лет назад
10 лет назад