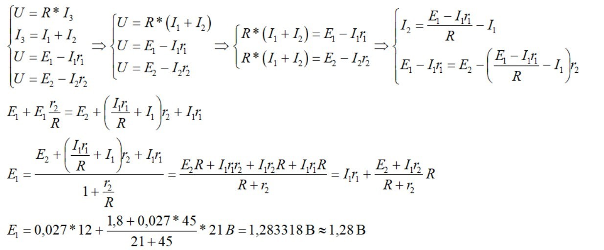
Два источника тока с электродвижущими силами Е1 и Е2 соединены одноименными
полюсами и подключены к внешнему сопротивлению R . Внутреннее сопротивление
источников r1 и r2 , токи в ветвях цепи I1, I2 и I3 . Определить электродвижущую силу Е1,
если Е2=1,8В; r1=12Ом; r2=45Ом; R=21Ом; I1=+0,027А.
Ответы
Ответ дал:
0
смотри решение во вложении
Приложения:

Вас заинтересует
2 года назад
2 года назад
6 лет назад
6 лет назад
9 лет назад
9 лет назад