• Предмет: Алгебра
  • Автор: Никита150201
  • Вопрос задан 9 лет назад

Упростите выражения:

Приложения:

Ответы

Ответ дал: Dимасuk
0
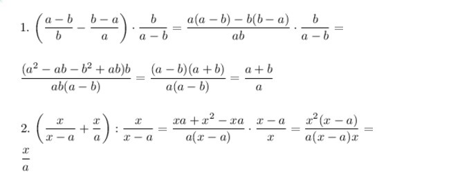
1.   bigg (  dfrac{a - b}{b}  - dfrac{b - a }{a} bigg ) cdot dfrac{b}{a - b} =  dfrac{a(a - b) - b(b - a)}{ab} cdot dfrac{b}{a - b} = \ \ \
 dfrac{(a^2 - ab - b^2 + ab)b}{ab(a - b)} =  dfrac{(a - b)(a + b)}{a(a - b)} =  dfrac{a + b}{a}

2.  bigg ( dfrac{x}{x - a } + dfrac{x}{a} bigg ) : dfrac{x}{x - a } =  dfrac{xa + x^2 - xa}{a(x - a)} cdot  dfrac{x-a}{x} =  dfrac{x^2(x - a)}{a(x - a)x} = \ \ 
 dfrac{x}{a}

Приложения:
Вас заинтересует