Помогите решить интеграл с помощью замены : интеграл dx/(x*sqrt(x^(2)+1))
sqrt-это корень квадратный
Ответы
Ответ дал:
0
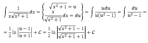
Ваш интеграл решен...............
Приложения:

Вас заинтересует
2 года назад
2 года назад
7 лет назад
7 лет назад
9 лет назад