Ответы
Ответ дал:
0
Я решил на листочках...
Приложения:
Ответ дал:
0
4
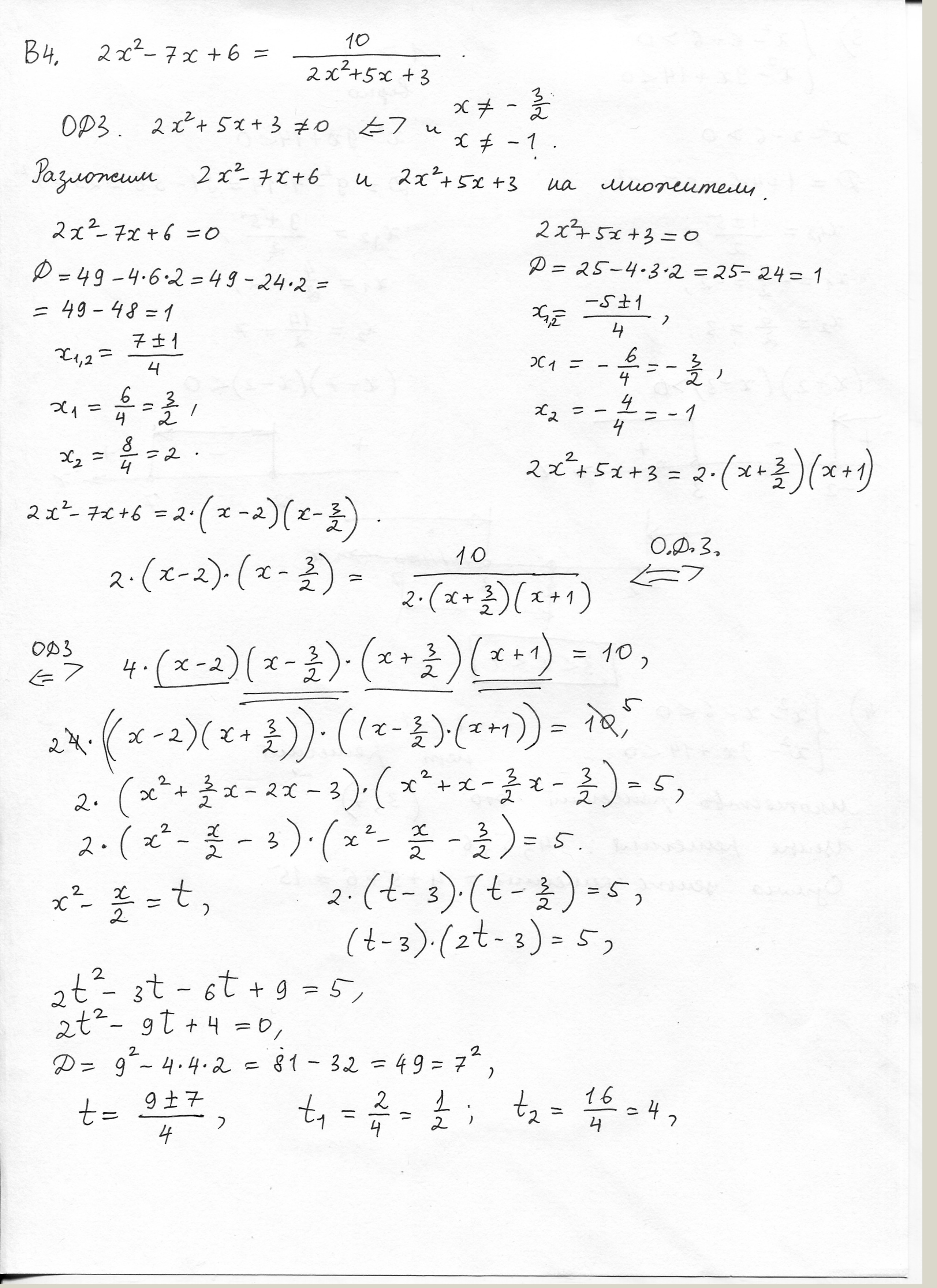
2x²-7x+6=2(x-3/2)(x-2)=(2x-3)(x-2)
D=49-48=1
x1+x2=(7-1)/4=3/2 U x2=(7+1)/4=2
2x²+5x+3)=2(x+3/2)(x+1)=(2x+3)(x+1)
(2x+3)(x-2)(2x-3)(x+1))=10
(2x²-x-6)(2x²-x-3)=10
2x²-x=a
(a-6)(a-3)-10=0
a²-9a+18-10=0
a²-9a+8=0
D=81-72=9
a1+a2=9 U a1*a2=8⇒a1=1 U a2=8
2x²-x=1
2x²-x-1=0
D=1+8=9
x1=(1-3)/4=-1/2 U x2=(1+3)/4=1
2x²-x=8
2x²-x-8=0
D=1+64=65
x1=(1-√65)/4 U x2=(1+√65)/4
Ответ x={(--√65)/4;(1+√65)/4;-1/2;1}
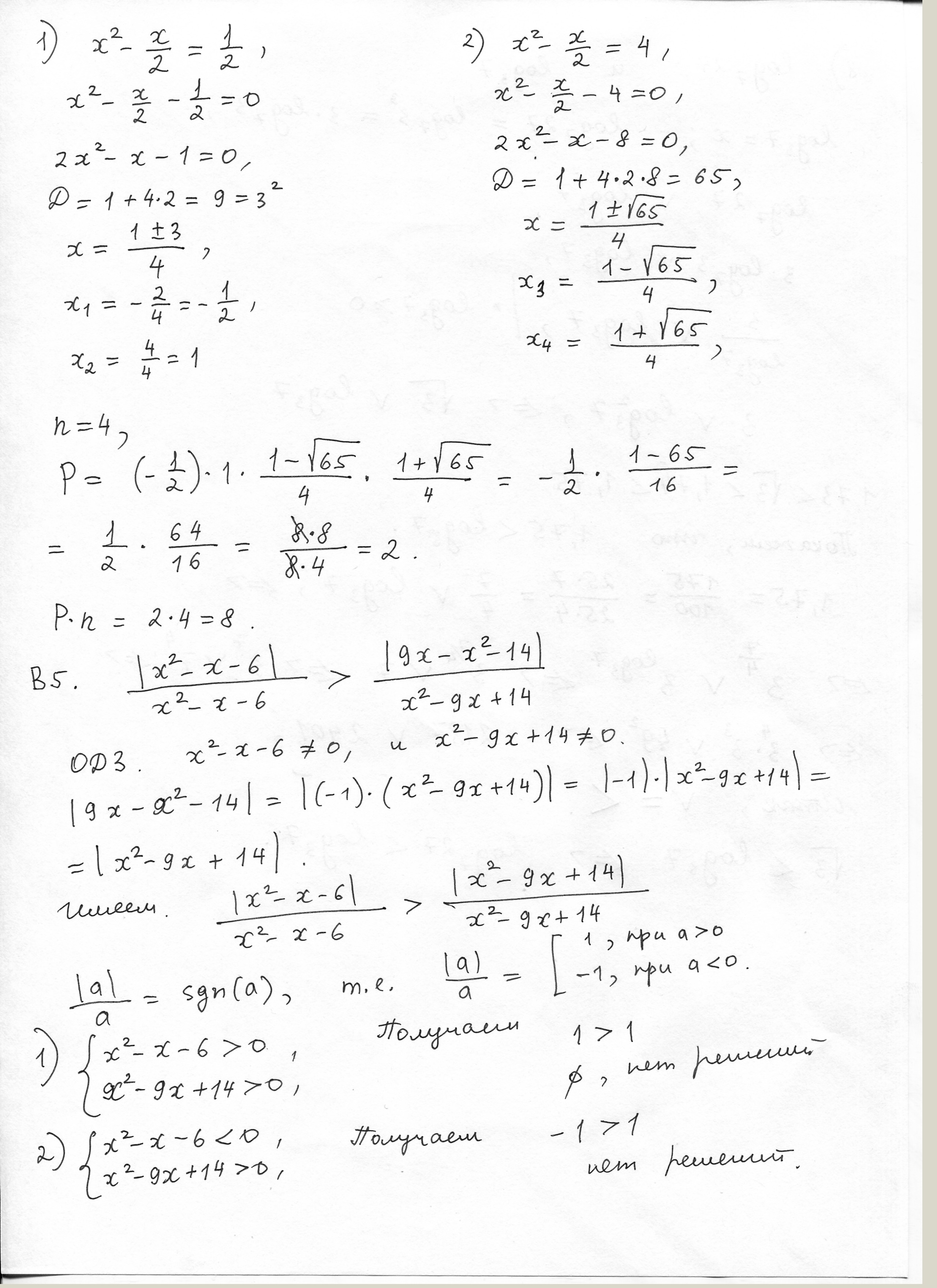
5
|x²-x-6|/(x²-x-6)>|-x²+9x-14|/(x²-9x+14)
x²-x-6=0 D=1+24=25>0⇒x1+x2=1 U x1*x2=-6⇒x=-2 U x=3
x²-9x+14=0⇒D=81-56=25>0⇒x1+x2=9 U x1*x2=14⇒x1=2 U x2=7
+ _ _ + + (x²-x-6)
---------(-2)------------(2)-------------(3)----------(7)------------
_ _ + + _ (-x²+9x-14)
1)x<-2
(x²-x-6)/(x²-x-6)>(x²-9x+14)/(x²-9x+14)
1>1 нет решения
2)-2<x<2
-(x²-x-6)/(x²-x-6)>(x²-9x+14)/(x²-9x+14)
-1>1 нет решения
3)2<x<3
-(x²-x-6)/(x²-x-6)>-(x²-9x+14)/(x²-9x+14)
-1>-1 нет решения
4)3<x<7
(x²-x-6)/(x²-x-6)>-(x²-9x+14)/(x²-9x+14)
1>-1
x∈(3;7)
4)x>7
(x²-x-6)/(x²-x-6)>(x²-9x+14)/(x²-9x+14)
1>1нет решения
Ответ x∈(3;7)
2x²-7x+6=2(x-3/2)(x-2)=(2x-3)(x-2)
D=49-48=1
x1+x2=(7-1)/4=3/2 U x2=(7+1)/4=2
2x²+5x+3)=2(x+3/2)(x+1)=(2x+3)(x+1)
(2x+3)(x-2)(2x-3)(x+1))=10
(2x²-x-6)(2x²-x-3)=10
2x²-x=a
(a-6)(a-3)-10=0
a²-9a+18-10=0
a²-9a+8=0
D=81-72=9
a1+a2=9 U a1*a2=8⇒a1=1 U a2=8
2x²-x=1
2x²-x-1=0
D=1+8=9
x1=(1-3)/4=-1/2 U x2=(1+3)/4=1
2x²-x=8
2x²-x-8=0
D=1+64=65
x1=(1-√65)/4 U x2=(1+√65)/4
Ответ x={(--√65)/4;(1+√65)/4;-1/2;1}
5
|x²-x-6|/(x²-x-6)>|-x²+9x-14|/(x²-9x+14)
x²-x-6=0 D=1+24=25>0⇒x1+x2=1 U x1*x2=-6⇒x=-2 U x=3
x²-9x+14=0⇒D=81-56=25>0⇒x1+x2=9 U x1*x2=14⇒x1=2 U x2=7
+ _ _ + + (x²-x-6)
---------(-2)------------(2)-------------(3)----------(7)------------
_ _ + + _ (-x²+9x-14)
1)x<-2
(x²-x-6)/(x²-x-6)>(x²-9x+14)/(x²-9x+14)
1>1 нет решения
2)-2<x<2
-(x²-x-6)/(x²-x-6)>(x²-9x+14)/(x²-9x+14)
-1>1 нет решения
3)2<x<3
-(x²-x-6)/(x²-x-6)>-(x²-9x+14)/(x²-9x+14)
-1>-1 нет решения
4)3<x<7
(x²-x-6)/(x²-x-6)>-(x²-9x+14)/(x²-9x+14)
1>-1
x∈(3;7)
4)x>7
(x²-x-6)/(x²-x-6)>(x²-9x+14)/(x²-9x+14)
1>1нет решения
Ответ x∈(3;7)
Приложения:
Вас заинтересует
2 года назад
2 года назад
7 лет назад
7 лет назад
10 лет назад
10 лет назад