• Предмет: Математика
  • Автор: gslisıla
  • Вопрос задан 9 лет назад

lütfen yardım edin bu soru acill

Приложения:

Ответы

Ответ дал: миша29112000
0
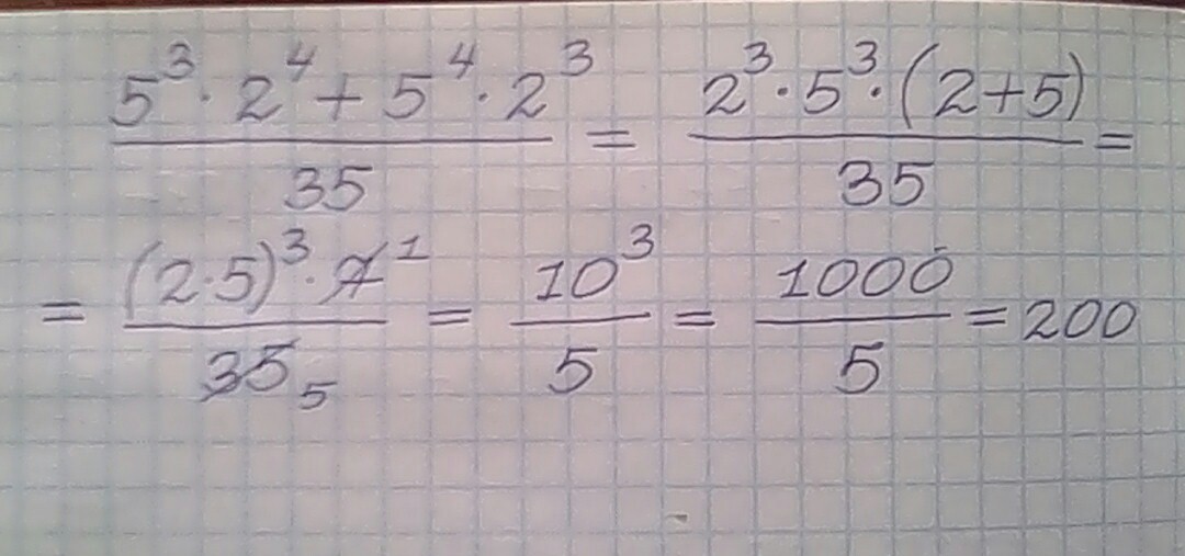
Ответ: А
........................
Приложения:
Ответ дал: миша29112000
0
:)))))))))
Ответ дал: gslisıla
0
:-)
Ответ дал: gslisıla
0
ben az türkçe biliyo
Ответ дал: миша29112000
0
Тюркче бильмиерум
Вас заинтересует