• Предмет: Математика
  • Автор: Bronzor1
  • Вопрос задан 9 лет назад

Помогите пожалуйста.С объяснениями.

Приложения:

Ответы

Ответ дал: Dимасuk
0
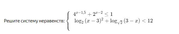
4^{x-1,5} + 2^{x - 2} leq 1 \ log_{2}(x - 3)^2 + log_{ sqrt{2}}(3 - x)  textless  12 \ \ 2^{2x - 3} + 2^{x - 2} leq 1 \0,5 log_{ sqrt{2}}(3 - x)^2 + log_{ sqrt{2}} (3 - x)  textless  12 \ \ 2^{2x - 4} cdot 2 + 2^{x - 2} leq 1 \ log_{ sqrt{2}}(3 - x) + log_{ sqrt{2}} (3 - x)  textless  12 \ \ 2 cdot 2^{2(x - 2)} + 2^{x - 2} leq 1 \ log_{ sqrt{2} }(3 - x)  textless  6
Решаем первое неравенство.
Пусть t = 2ˣ⁻², t > 0.
2t² + t  ≤ 1
2t² + t - 1 ≤ 0
2t² + t - 1 = 0 
D = 1 + 2·4 = 9 = 3²
t₁ = (-1 + 3)/4 = 2/4 = 1/2
t₂ = (-1 - 3)/4 = -1 
2(t - 1/2)(t + 1) ≤ 0
(t - 1/2)(t + 1) ≤ 0
t ∈ [-1; 1/2]
С учетом ограничения: t ∈ (0; 1/2]
Обратная замена:
0 < 2ˣ⁻² ≤ 1/2
2ˣ⁻² ≤ 2⁻¹
x - 2 ≤ -1
x ≤ 1
Теперь решаем второе неравенство:
log_{ sqrt{2} }(3 - x)  textless  6 \ \  3 - x  textgreater   0 \ log_{ sqrt{2} }(3 - x)  textless   log_{ sqrt{2}}8 \ \ 
x  textless   3 \ 
3 - x  textless   8 \ \ 
x  textless   3 \ 
x  textgreater   -5 \ \ 
-5  textless   x  textless   3
Пересекая неравенства, получаем -5 < x ≤ 1.
Ответ: -5 < x ≤ 1. 
Ответ дал: Bronzor1
0
2(t - 1/2)(t + 1) ≤ 0 откуда это?
Ответ дал: Dимасuk
0
Там выше разложено на множители, дальше по теореме Виета сгрупированно в множители
Ответ дал: sedinalana
0
Решим 1 неравенство
2^(2x-3)+2^(x-2)≤1
(2^2x)/8+(2^x)/4-1≤0
2^2x+2*2^x-8≤0
2^x=a
a²+2a-8≤0
D=4+32=36>0
a1+a2=-2 U a1*a2=-8
a1=-4 U a2=2
              +                    _                  +
--------------[-4]------------------[2]---------------
-4≤a≤2⇒-4≤2^x≤2⇒x≤1
Решим 2 неравенство
ОДЗ
{3-x≠0⇒x≠3
{3-x>0⇒x<3
Перейдем к основанию 2
log(2)(3-x)²+log(2)(3-x)/(log(2)√2)<12
2log(2)(3-x)+2log(2)(3-x)<12
4log(2)(3-x)<12
log(2)(3-x)<3
3-x<8
x>3-8
x>-5
            ////////////////////////////////////////
--------(-5)------------------[1]--------------
 \\\\\\\\\\\\\\\\\\\
 x∈(-5;1]         

Вас заинтересует