Ответы
Ответ дал:
0
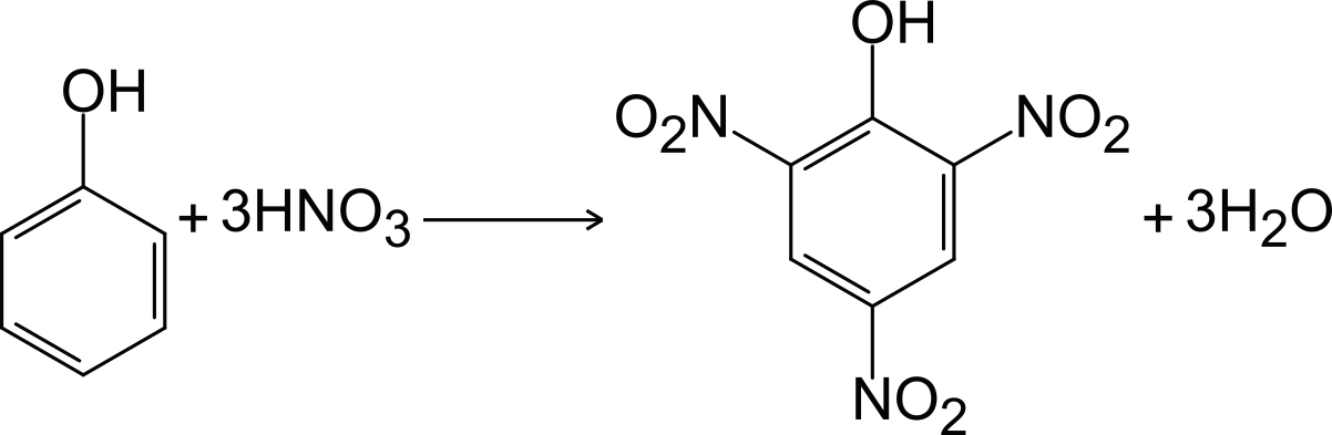
Пишем реакцию (см. рис.)
По уравнению реакции n(фенола) = n(пикриновой кислоты)
Пользуясь этим посчитаем сразу массу пикриновой кислоты
По уравнению реакции n(фенола) = n(пикриновой кислоты)
Пользуясь этим посчитаем сразу массу пикриновой кислоты
Приложения:

Вас заинтересует
7 лет назад
9 лет назад
9 лет назад