Ответы
Ответ дал:
0
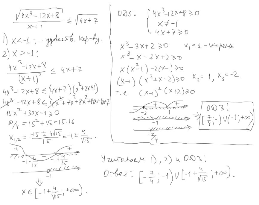
Решение прицеплено в картинке.
Приложения:

Ответ дал:
0
Спасибо! У меня получился такой же ответ)
Вас заинтересует
2 года назад
2 года назад
7 лет назад
7 лет назад
9 лет назад