Ответы
Ответ дал:
0
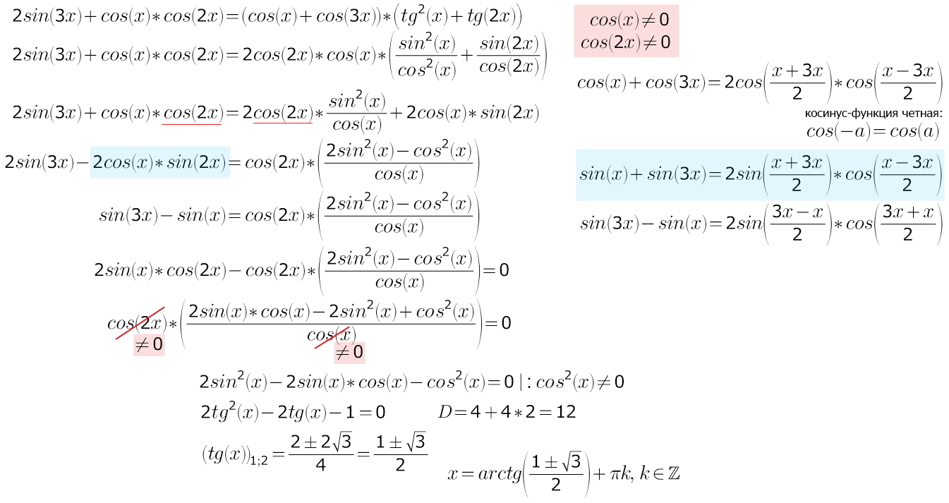
все свелось к однородному уравнению второй степени...
(вроде нигде не ошиблась...)
(вроде нигде не ошиблась...)
Приложения:

Ответ дал:
0
не стоит меня блокировать
Ответ дал:
0
кроме неприязни к sedinalanе у меня больше ничего плохого неь
Ответ дал:
0
точнее, cos(2x) НЕноль, потому на него можно умножить (или разделить) обе части равенства.
Ответ дал:
0
но куда девалась серия корней cos2x=0?
Ответ дал:
0
вверху в красной рамочке ОДЗ написано))) у нас ведь тангенсы в исходном уравнении...
Вас заинтересует
2 года назад
2 года назад
7 лет назад
9 лет назад