Ответы
Ответ дал:
0
Я решил на листочке...
Приложения:

Ответ дал:
0
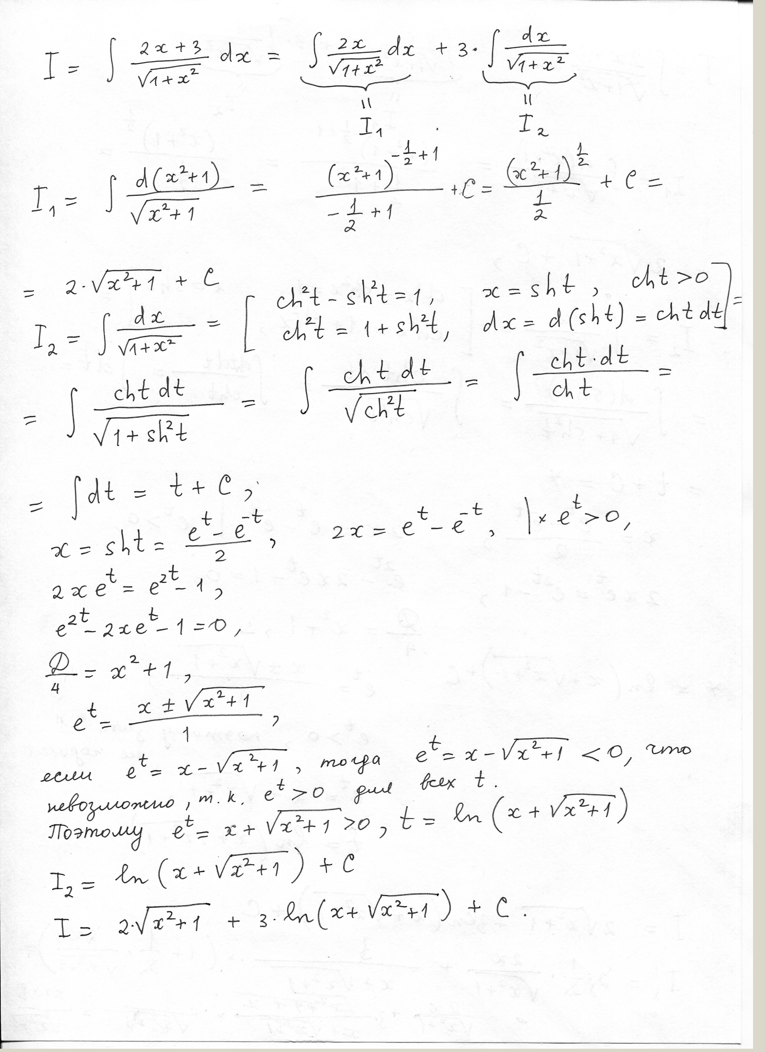
S(2x+3)dx/√(1+x²)
Разобьем на сумму интегралов S2xdx/√(1+x²)+S3dx/√(1+x²)
Рассмотрим S2xdx/√(1+x²)
u=1+x²,du=2x
Получим
S2xdx/√(1+x²)=Sdu/√u=2√u=2√(1+x²)
S3dx/√(1+x²)=3ln|x+√(1+x²)|
Таким образом
S(2x+3)dx/√(1+x²)=2√(1+x²) + 3ln|x+√(1+x²)|+C
-----------------------------------------------
Проверим
(2√(1+x²) + 3ln|x+√(1+x²)|+C)`=(2√(1+x²) )`+ (3ln|x+√(1+x²)|)`+(C)`=
=2*2x/[2√(1+x²)]+1/(x+√(1+x²)*(1+2x/[2√(1+x²)])+0=
=2x/√(1+x²)+3(√(1+x²)+x)/[(x+√(1+x²))√(1+x²)]=2x/√(1+x²)+3/√(1+x²)=
=(2x+3)/√(1+x²)
Разобьем на сумму интегралов S2xdx/√(1+x²)+S3dx/√(1+x²)
Рассмотрим S2xdx/√(1+x²)
u=1+x²,du=2x
Получим
S2xdx/√(1+x²)=Sdu/√u=2√u=2√(1+x²)
S3dx/√(1+x²)=3ln|x+√(1+x²)|
Таким образом
S(2x+3)dx/√(1+x²)=2√(1+x²) + 3ln|x+√(1+x²)|+C
-----------------------------------------------
Проверим
(2√(1+x²) + 3ln|x+√(1+x²)|+C)`=(2√(1+x²) )`+ (3ln|x+√(1+x²)|)`+(C)`=
=2*2x/[2√(1+x²)]+1/(x+√(1+x²)*(1+2x/[2√(1+x²)])+0=
=2x/√(1+x²)+3(√(1+x²)+x)/[(x+√(1+x²))√(1+x²)]=2x/√(1+x²)+3/√(1+x²)=
=(2x+3)/√(1+x²)
Приложения:

Вас заинтересует
2 года назад
2 года назад
7 лет назад
7 лет назад