Ответы
Ответ дал:
0
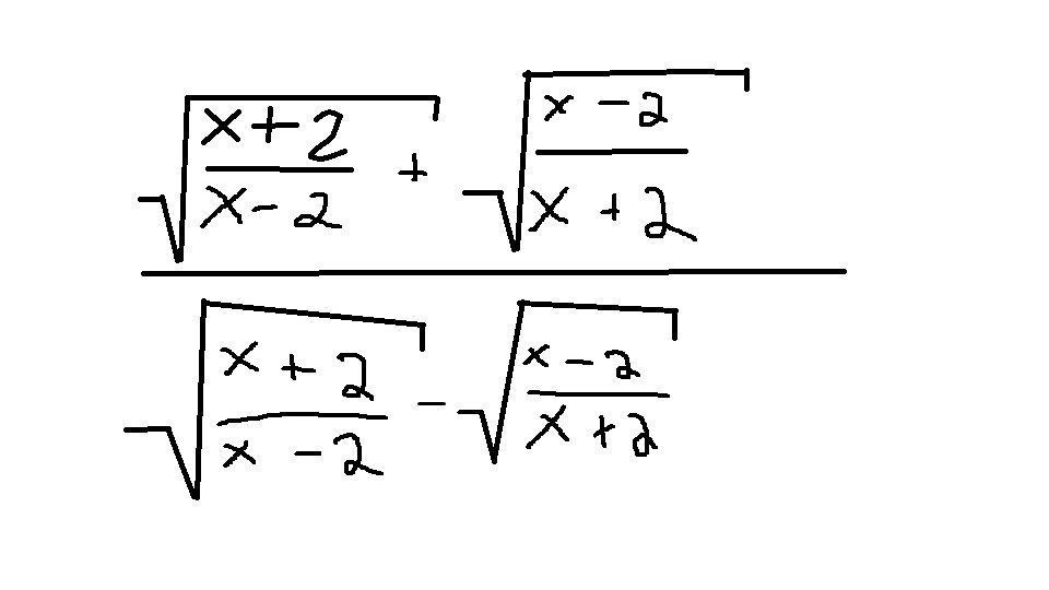
из нижней части дроби знак "-" вынеси.
получится
-(✓х+2/х-2+✓х-2/х+2) это нижняя часть
потом обе части сокращаешь.
получится 1/-1.
в итоге ответ: -1
получится
-(✓х+2/х-2+✓х-2/х+2) это нижняя часть
потом обе части сокращаешь.
получится 1/-1.
в итоге ответ: -1
Вас заинтересует
2 года назад
7 лет назад
7 лет назад
10 лет назад
10 лет назад
10 лет назад
10 лет назад