ДАЮ 24 БАЛЛА!!! Составьте числовое выражение и найдите его значение:
1)частное от деления суммы чисел 4/9 и -5/6 на число -14/27
2)разность произведения чисел -1,5 и 4 и числа 2
3)произведение суммы и разности чисел -1,9 и 0,9
4)куб разности чисел 6 и 8
Ответы
Ответ дал:
0
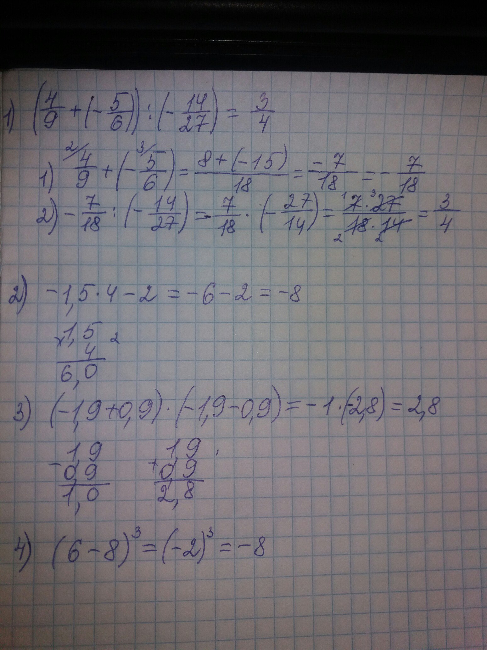
Решение на фото.
Если будут вопросы, пиши.
________________________
Sunny Storm (Darknight)
Если будут вопросы, пиши.
________________________
Sunny Storm (Darknight)
Приложения:
Ответ дал:
0
(4/9+(-5/6)):(-14/27)=(8/18-15/18):(-14/27)=-7/18*(-27/14)=3/4
-1,5*4-2=-6-2=-8
(-1,9+0,9)*(-1,9-0,9)=-1*(-2,8)=2,8
(6-8)³=(-2)³=-8
-1,5*4-2=-6-2=-8
(-1,9+0,9)*(-1,9-0,9)=-1*(-2,8)=2,8
(6-8)³=(-2)³=-8
Приложения:
Вас заинтересует
3 года назад
7 лет назад
7 лет назад
10 лет назад