• Предмет: Математика
  • Автор: Look66
  • Вопрос задан 9 лет назад

Помогите пожалуйста

Приложения:

Ответы

Ответ дал: кляча
0
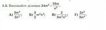
24m^3 : 16m * n^2 = 3m^2n^2/2
Ответ: Б) 3/2 m^2n^2

Вас заинтересует