Реши уравнение: z^2+12z+27=0
Корни уравнения
z1=
z2=
(первым введи больший корень)
^-это степень
P.s. может быть два варианта корня
Ответы
Ответ дал:
0
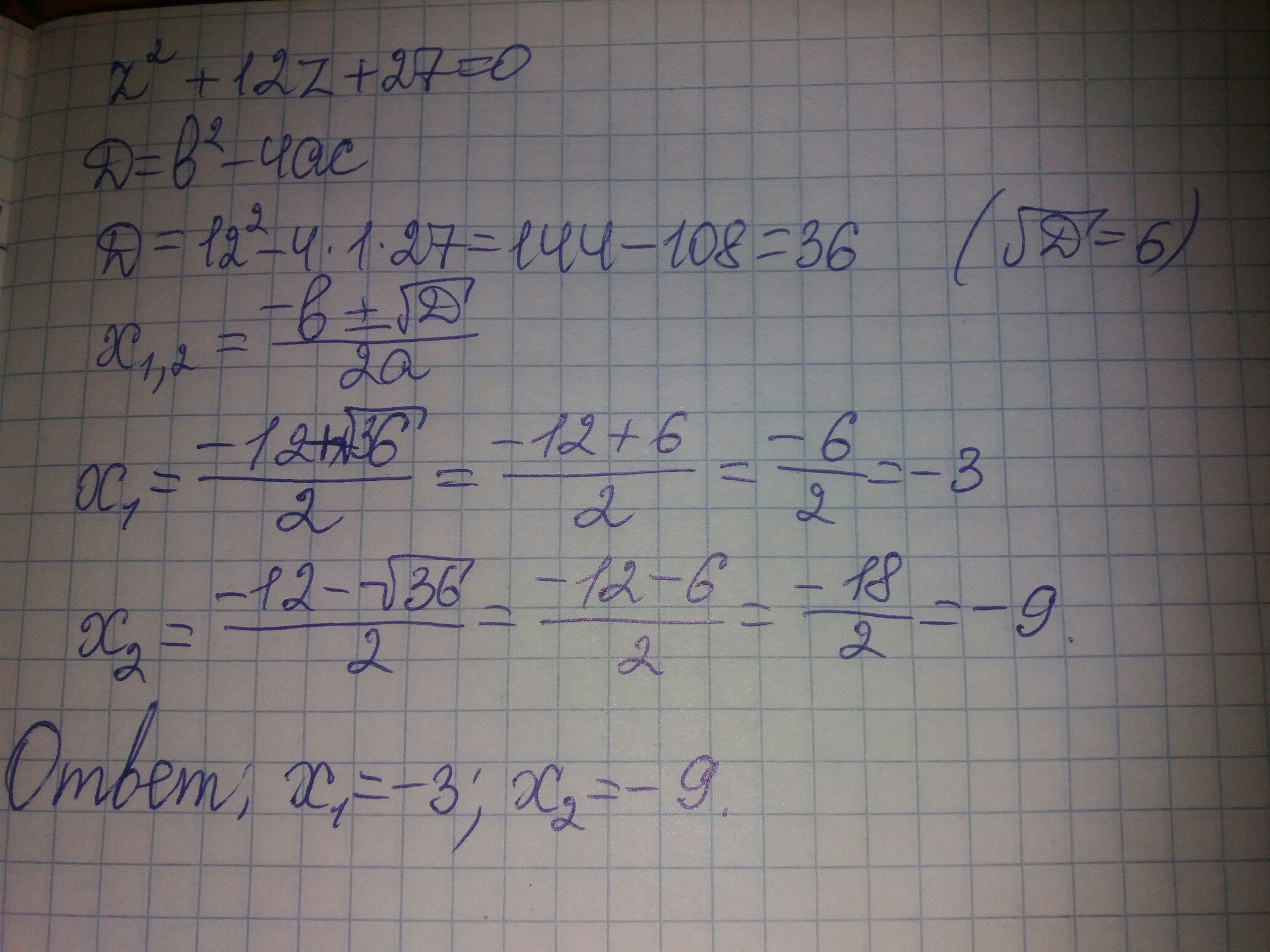
обычное квадратное уравнение:
D=12^2-4*27=144-108=36=6^2
z1=(-12+6)/2=-3
z2=-18/2=-9
Ответ:
z1=-3
z2=-9
D=12^2-4*27=144-108=36=6^2
z1=(-12+6)/2=-3
z2=-18/2=-9
Ответ:
z1=-3
z2=-9
Ответ дал:
0
https://znanija.com/task/24971778 новое задание
Ответ дал:
0
Решение на фотографии.
_______________________
Sunny Storm (Darknight)
_______________________
Sunny Storm (Darknight)
Приложения:
Ответ дал:
0
https://znanija.com/task/24971778 сделайте вот это задание плиз
Вас заинтересует
2 года назад
2 года назад
7 лет назад
7 лет назад
9 лет назад
10 лет назад