• Предмет: Математика
  • Автор: MissKaprizzz123
  • Вопрос задан 9 лет назад

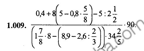
Помогите пожалуйста,можно не решать,а просто по действиям расписать!

Приложения:

Ответа на этот вопрос пока нет. Попробуйте найти его через форму поиска.

Вас заинтересует