• Предмет: Алгебра
  • Автор: Saimon1337
  • Вопрос задан 9 лет назад

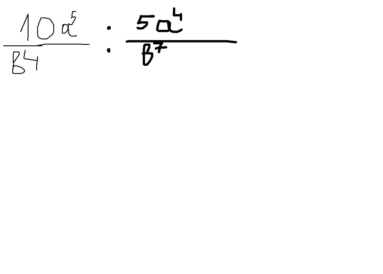
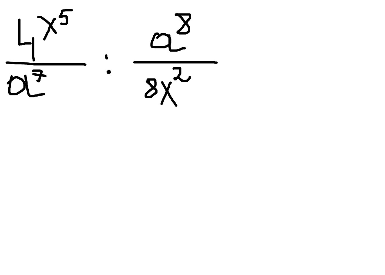
Будьте добры, пожалуйста помоги решить примеры 

Приложения:

Ответы

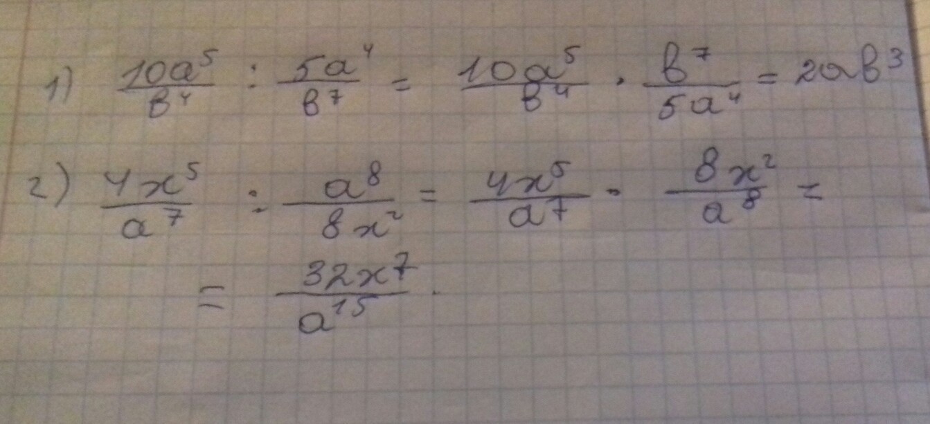
Ответ дал: Анна9711
0
Программа: photomath. Очень удобная и простая
Приложения:
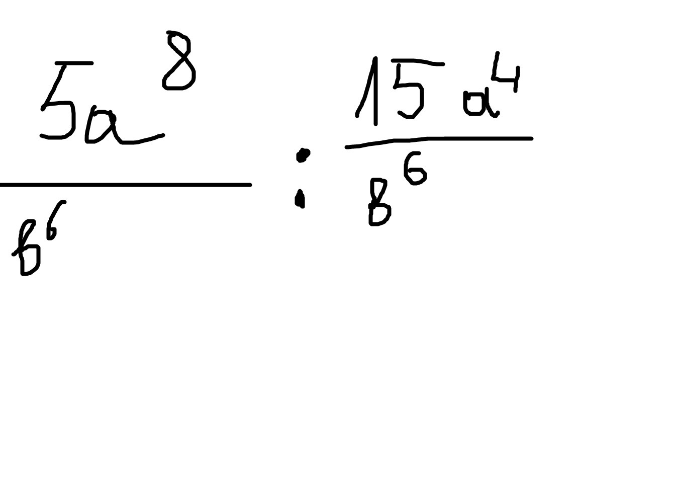
Ответ дал: lenochka2411
0
если что-то не понятно, обращайтесь ))))
Приложения:
Вас заинтересует