• Предмет: Математика
  • Автор: katyonamilyonaoventl
  • Вопрос задан 9 лет назад

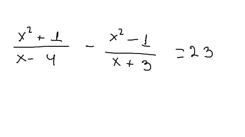
помогите сократить уравнение

Приложения:

Ответы

Ответ дал: ККраснаяПанда
0
сокращаем иксы
получаем в числителе:
1-1=0

в знаминателе:
-4+3=-1
Вас заинтересует