• Предмет: Алгебра
  • Автор: semy2323
  • Вопрос задан 9 лет назад

Будьте добры, решите примеры, ( ! )

Приложения:

Ответы

Ответ дал: NNNLLL54
0
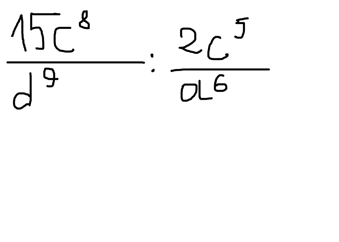
 frac{15c^8}{d^9}:frac{2c^5}{a^6}=frac{15c^8}{d^9}cdot frac{a^6}{2c^5}=frac{15c^3a^6}{2d^9}\\ frac{15c^8}{a^9}:frac{2c^5}{a^6}= frac{15c^8cdot a^6}{a^9cdot 2c^5}= frac{15c^3}{2a^3}=7,5 cdot frac{c^3}{a^3} \\ frac{18a^7}{b^5}:frac{24b^{12}}{a^6}=frac{18a^7}{b^5}cdot frac{a^6}{24b^{12}} =frac{3a^{13}}{4b^{17}}

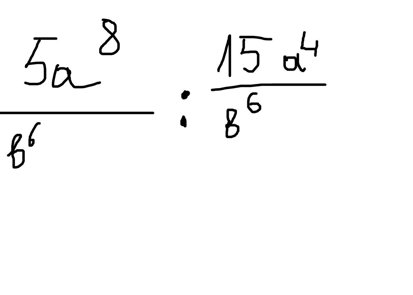
 frac{5a^8}{b^6}:frac{15a^3}{b^6}=frac{5a^8}{b^6}cdot frac{b^6}{15a^3}=frac{a^5}{3}
Ответ дал: semy2323
0
Спасибо
Вас заинтересует