Ответы
Ответ дал:
0
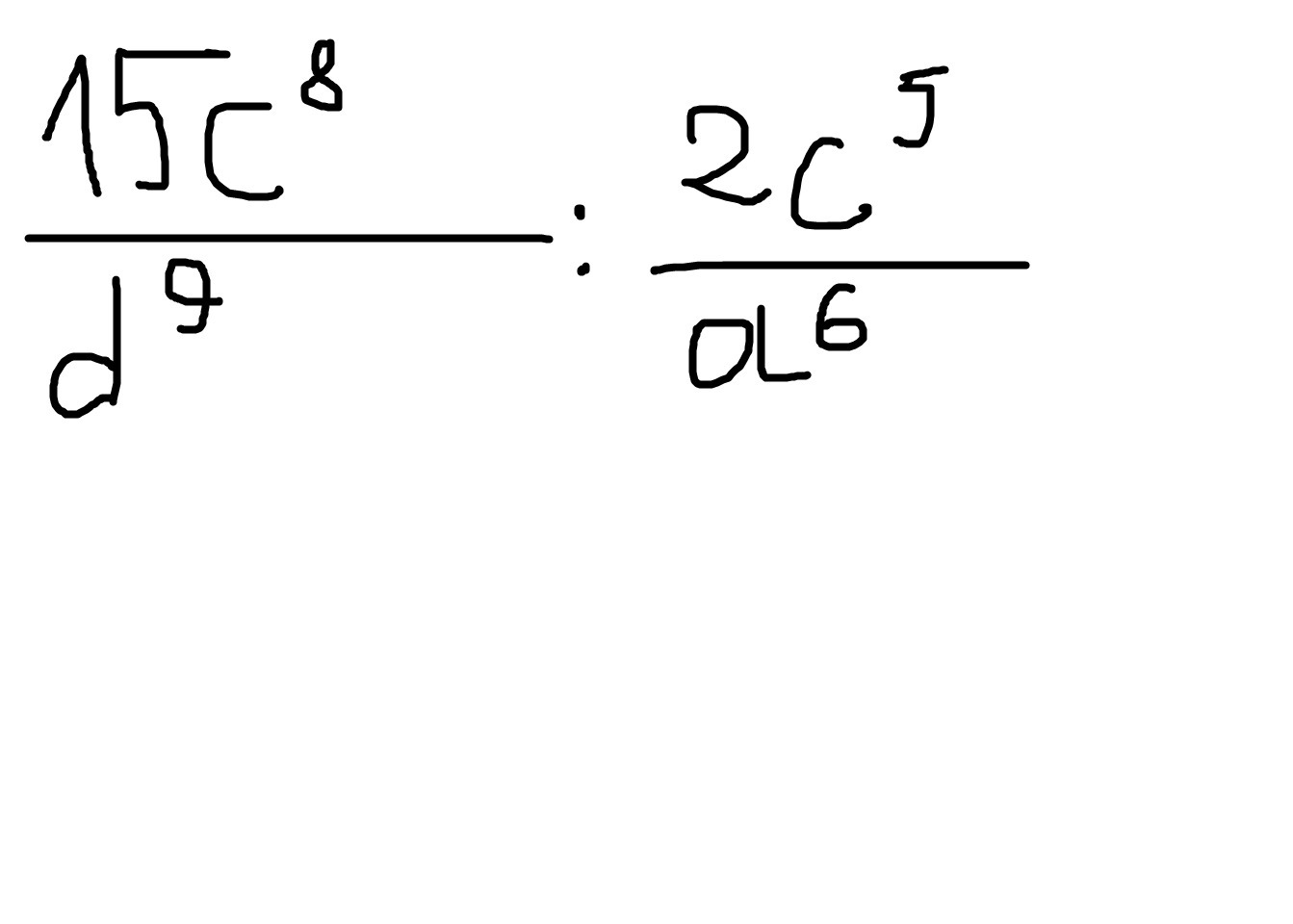
15с^8*a^6/2c^5*d^9= 15c^3 a^6/2d^9 (8-5 - при делении показатели вычитают)
18а^ 7*а^6/24 в ^12*в^ 5=3a^13/4 в^17 (7+6 и 12+5 при умножении показатели складывают)
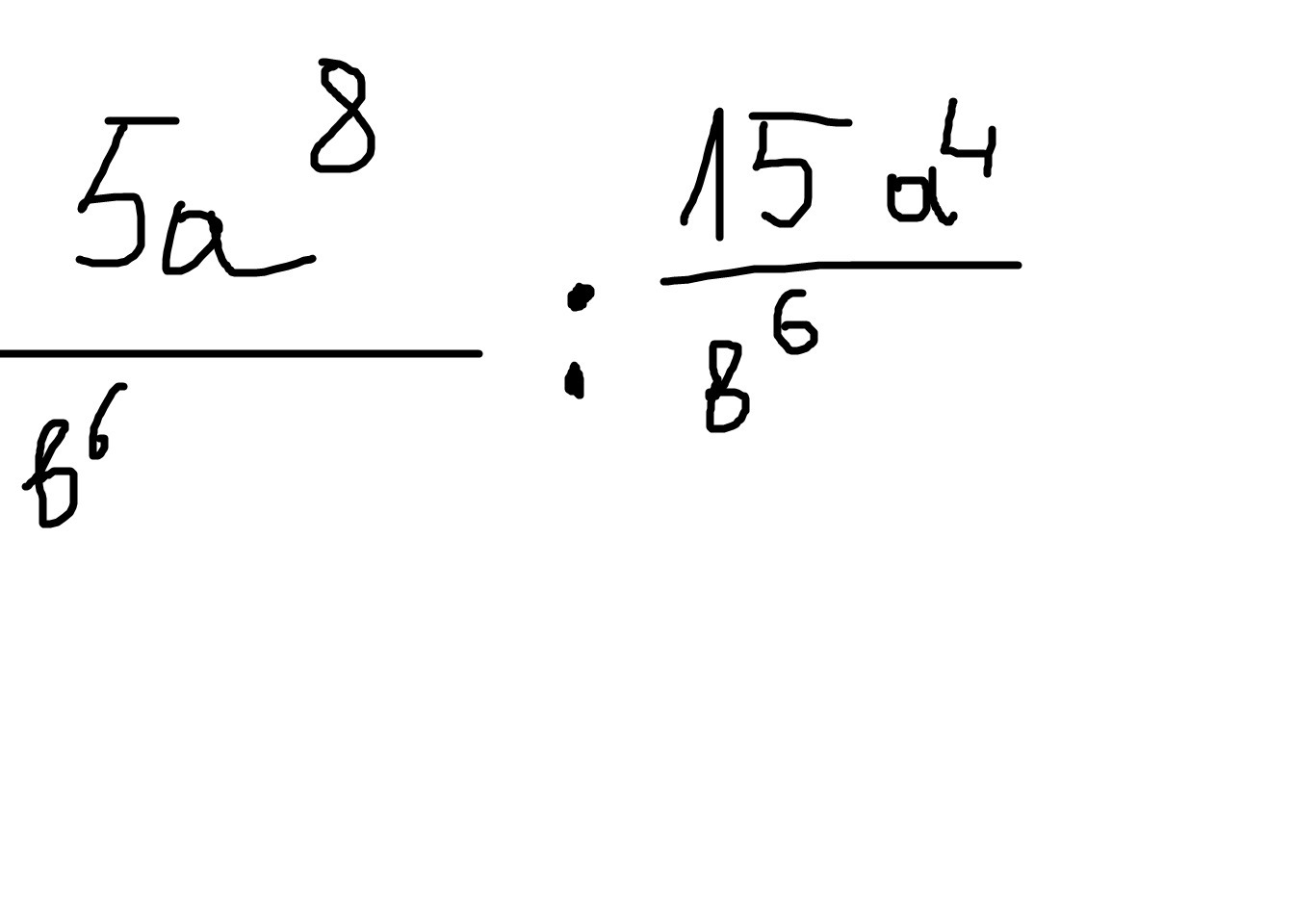
5а^8 в^ 6/15а^ 4в^6 =a^4/3 (8-4 b 6-6 =0 в в нулевой степени единица)
18а^ 7*а^6/24 в ^12*в^ 5=3a^13/4 в^17 (7+6 и 12+5 при умножении показатели складывают)
5а^8 в^ 6/15а^ 4в^6 =a^4/3 (8-4 b 6-6 =0 в в нулевой степени единица)
Вас заинтересует
2 года назад
2 года назад
7 лет назад
10 лет назад
10 лет назад
10 лет назад