• Предмет: Математика
  • Автор: kroko2
  • Вопрос задан 9 лет назад

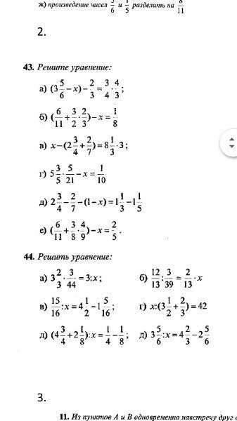
помогите пожалуйста решить номер 44

Приложения:

Ответа на этот вопрос пока нет. Попробуйте найти его через форму поиска.

Вас заинтересует