• Предмет: Алгебра
  • Автор: opalgeorgii
  • Вопрос задан 9 лет назад

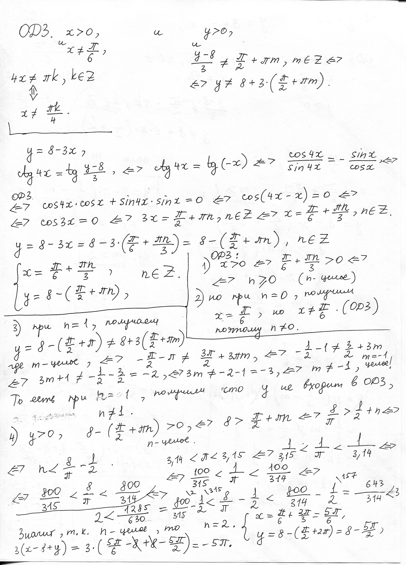
В первом уравнении с логарифмами y = 8-3x; x = (8-y)/3. Подставляя "y" во второе выходит: ctg(4x) = tg(-x). Как посчитать дальше? Тригонометрию забыл :(

Приложения:

Ответы

Ответ дал: Аноним
0
Я кое-как решил на листочке...
Приложения:
Ответ дал: opalgeorgii
0
Большое спасибо что так заморочились !!!:)
Вас заинтересует