ПОЖАЛУЙСТА, ПОМОГИТЕ, СРОЧНО!!!
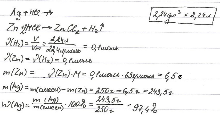
На смесь массой 250 г, состоящую из опилок цинка и серебра, подействовали избытком хлороводородной кислоты. в результате реакции выделился водород объемом 2, 24 дм³. рассчитайте массовую долю серебра в смеси
Ответы
Ответ дал:
0
????????????????????????????????????????
Очень странный ответ, могла накосячить
Очень странный ответ, могла накосячить
Приложения:
Вас заинтересует
2 года назад
2 года назад
7 лет назад
10 лет назад
10 лет назад
10 лет назад
10 лет назад