• Предмет: Алгебра
  • Автор: sasfa1mm
  • Вопрос задан 9 лет назад

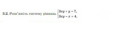
Розв'яжіть систему рівнянь

Приложения:

Ответа на этот вопрос пока нет. Попробуйте найти его через форму поиска.

Вас заинтересует