Ответы
Ответ дал:
0
известна формула:
под обоими корнями полные квадраты...
это подсказывает удвоенное произведение:
т.е. первое слагаемое в формуле это 1,
второе слагаемое в формуле это √(х-1)...
проверим: (1 + √(х-1))² = 1² + 2*1*√(х-1) + (√(х-1))² = 1 + 2√(х-1) + х-1 =
= 2√(х-1) + х
под первым корнем "квадрат суммы", под вторым - "квадрат разности" и под модулем (см. первую формулу)
под обоими корнями полные квадраты...
это подсказывает удвоенное произведение:
т.е. первое слагаемое в формуле это 1,
второе слагаемое в формуле это √(х-1)...
проверим: (1 + √(х-1))² = 1² + 2*1*√(х-1) + (√(х-1))² = 1 + 2√(х-1) + х-1 =
= 2√(х-1) + х
под первым корнем "квадрат суммы", под вторым - "квадрат разности" и под модулем (см. первую формулу)
Ответ дал:
0
task/24977446
--------------------
Как производится такое преобразование
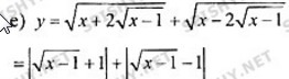
y = √( x +2√(x-1) )+√( x -2√(x-1) ) = |√( x -1) +1|+|√( x -1) -1| .
--------
y = √( x +2√(x-1) )+√( x -2√(x-1) ) =
√( ( x -1) +2√(x-1)*1 +1 ) +√( ( x -1) -2√(x-1)*1 +1 )=
√(√( x -1) +1)² +√(√( x -1) -1)² = |√( x -1) +1|+|√( x -1) -1| .
D(y) : [ 1; ∞)
* * * * * * * * * * * * * * * * *
|√( x -1) +1| = √( x -1) +1 ;
|√( x -1) -1| = √( x -1) -1 , если x ≥2 ;
|√( x -1) -1| = -(√( x -1) -1) , если x <2.
Получается :
y =2 , если 1 ≤ x < 2 ;
y =2√( x -1) , если x ≥2 .
!!! √(a-b)² =√(b-a)² = |a-b|
--------------------
Как производится такое преобразование
y = √( x +2√(x-1) )+√( x -2√(x-1) ) = |√( x -1) +1|+|√( x -1) -1| .
--------
y = √( x +2√(x-1) )+√( x -2√(x-1) ) =
√( ( x -1) +2√(x-1)*1 +1 ) +√( ( x -1) -2√(x-1)*1 +1 )=
√(√( x -1) +1)² +√(√( x -1) -1)² = |√( x -1) +1|+|√( x -1) -1| .
D(y) : [ 1; ∞)
* * * * * * * * * * * * * * * * *
|√( x -1) +1| = √( x -1) +1 ;
|√( x -1) -1| = √( x -1) -1 , если x ≥2 ;
|√( x -1) -1| = -(√( x -1) -1) , если x <2.
Получается :
y =2 , если 1 ≤ x < 2 ;
y =2√( x -1) , если x ≥2 .
!!! √(a-b)² =√(b-a)² = |a-b|
Вас заинтересует
2 года назад
7 лет назад
7 лет назад
9 лет назад
10 лет назад