• Предмет: Алгебра
  • Автор: Teaminxl
  • Вопрос задан 9 лет назад

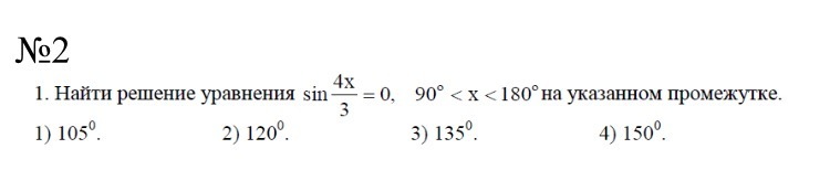
Помогите решить тригонометрическое уравнение пожалуйста!!!

Приложения:

Ответы

Ответ дал: amin07am
0
Ответ
//////////////////////^^/^:^^^^
Приложения:
Вас заинтересует