• Предмет: Алгебра
  • Автор: Albertuha
  • Вопрос задан 9 лет назад

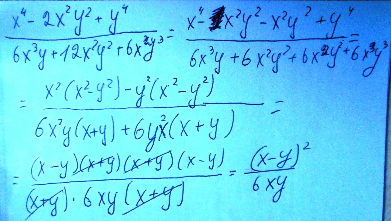
Сократите дробь пожалуйста:
x⁴-2x²y²+y⁴/6x³y+12x²y²+6x³y

Ответы

Ответ дал: miron2077
0
!!!!!!!!!!!!!!!!!!!!!!!!!!!!!!!!!!!!
Приложения:
Ответ дал: Fixytup
0
там в самом конце 6x³y
Ответ дал: Fixytup
0
а у тебя 6xy³
Ответ дал: Albertuha
0
Я в конце сам сделал
Ответ дал: miron2077
0
зря отметил нарушение, я просто исправил описку, но если тебе это доставляет удововольствие, то ладено!
Вас заинтересует