• Предмет: Алгебра
  • Автор: hoganjohnson007
  • Вопрос задан 9 лет назад

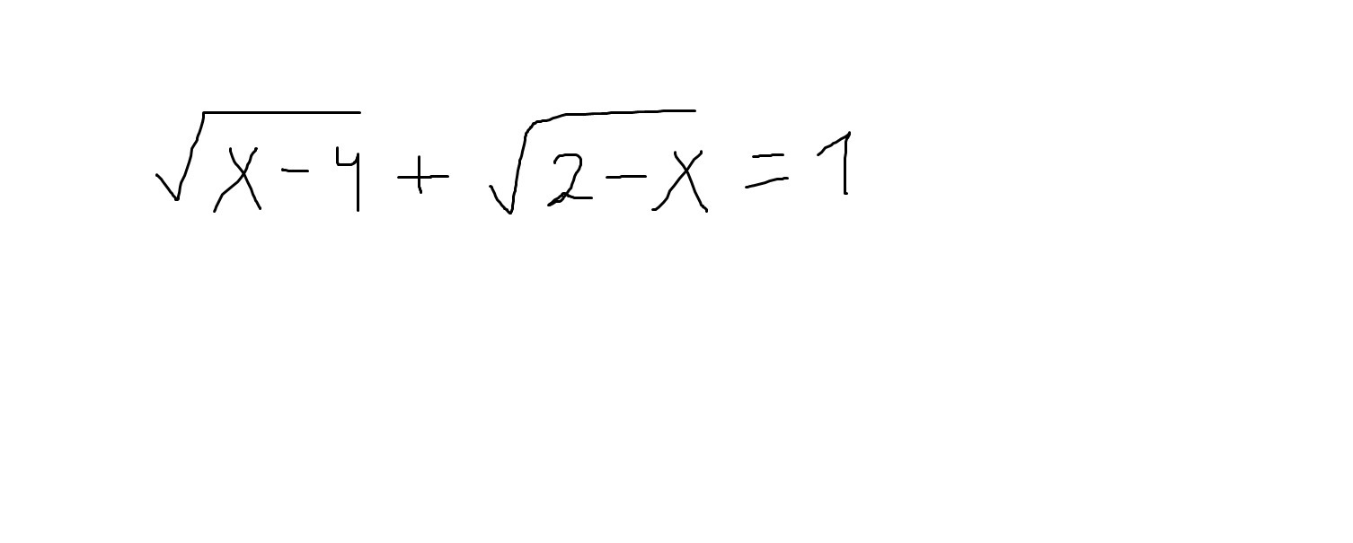
Пожалуйста помогите!!! даю 30 баллов Найти область определения

Приложения:

Ответы

Ответ дал: amin07am
0
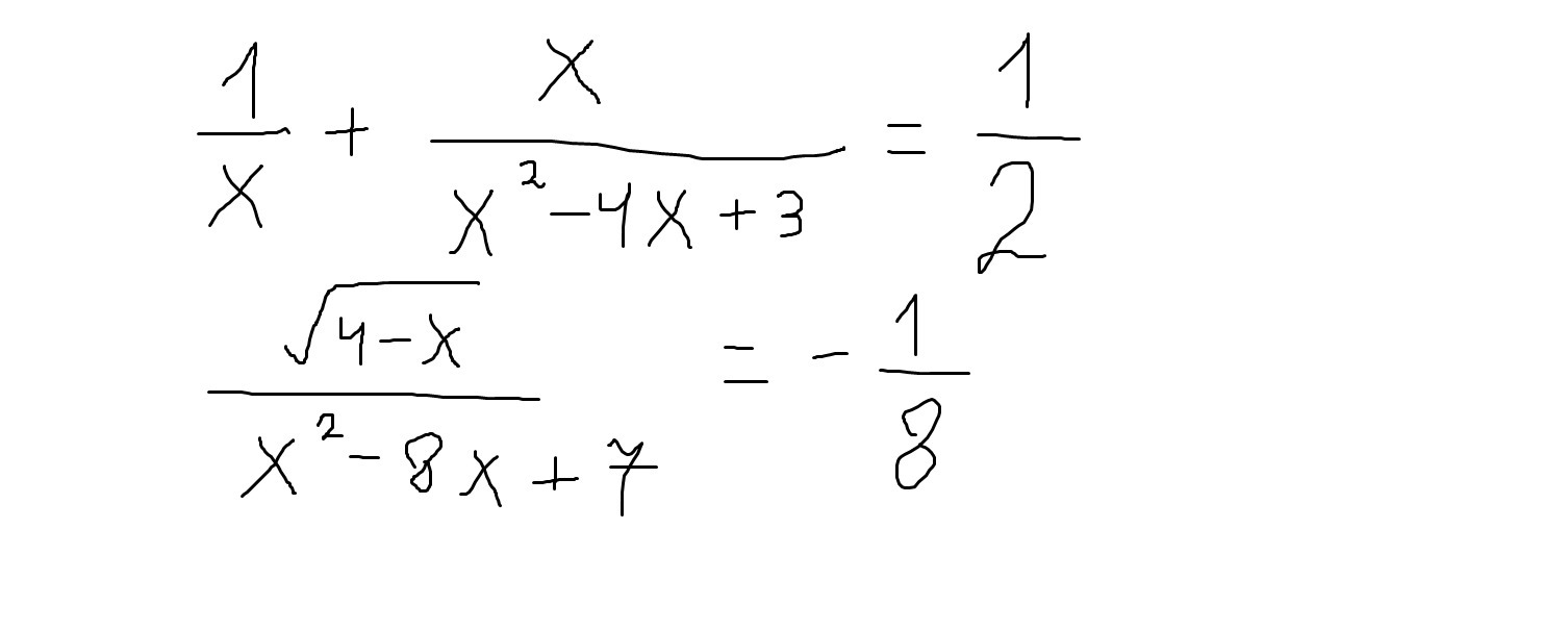
Ответ &/$##[email protected]#$//$#@[email protected]$///#@@
Приложения:
Ответ дал: hoganjohnson007
0
можете еще помочь
Ответ дал: hoganjohnson007
0
столько же баллов дам
Ответ дал: hoganjohnson007
0
может и больше
Ответ дал: hoganjohnson007
0
пожалуйста очень нужна помощь
Вас заинтересует